戚宇林,刘文颖,杨以涵,及洪泉
(华北电力大学,河北省 保定市 071003)
ENSURING POWER SYSTEM SECURITY BY NETWORKING TRANSMISSION OF
ELECTRIC POWER INFORMATION
QI Yu-lin,LIU Wen-ying,YANG Yi-han,JI Hong-quan
(North China Electric Power University,Baoding 071003,Hebei Province,China)
ABSTRACT: Electric power information consists of remote-control data, protection data and recorded fault data. The networking transmission of information is a kind of high-speed communication based on TCP/IP protocol. According to the practical situation of dispatching decision making supporting system for Lanzhou power supply company and from the viewpoint of ensuring power system security, the transmission modes of electric power information are analyzed, the relevant design approach and technological scheme of power information transmission network are presented and the assessment of its performance is given.
KEYWORDS: Electric power information network;Accessment of performance;Remote-control;Data communication
摘 要:电力信息包括远动数据、保护数据以及故障录波数据等。网络化传输是基于TCP/IP技术实现信息的高速通信。作者结合兰州供电公司调度决策支持系统的实际情况,从保证电网安全运行的要求出发,分析了电力信息的传输模式,给出了电力系统信息传输网络的设计方法和技术方案。最后给出了电力信息传输网络性能评价。
关键词:电力信息网;网络性能评价;远动;数据通信
1 引言
在信息化时代的今天,电力系统的安全可靠运行离不开现代化的电力信息传输网络。电力信息或电力系统实时数据的传输已经超出了目前远动系统的范畴。常规远动系统必将被融合计算机、保护、控制、网络、通信等技术于一体的网络化电力信息传输系统所代替,并终将打破现行的专业分工,引起远动系统设计的一场革命[1]。
当然,电力信息网络也存在安全问题。但在当前情况下,相对于电力系统本身的安全性而言,它的预防要容易一些。在2003年发生的“9.28”意大利大停电、“9.23”瑞典-丹麦大停电和“8.14”美加大停电都不是因为“黑客”攻击互联网而造成的[2]。
但是,连接每个变电站的电力信息网络的建设不是一朝一夕能完成的,需要大量投入人力物力。事实上,电力系统的安全可靠性和良好的经济效益是一对古老的矛盾。就电力信息网络来说,要解决好这一矛盾必须分两步走:近期目标和长远目标。本文主要研究电力信息网络建设的近期目标。即在现有设备的基础上或增加少量设备来组建电力信息网络。
电力信息网是连接所有变电站及调度中心的,以传输远动、保护、故障录波、语音、图像等数据为目的的计算机网络系统。
按照这样的定义,我国电力信息网络的建设还处于初级阶段,其特点是实时数据以独立的数据通道传输为主。显然并没有形成真正意义上的电力信息网络。
2 电力信息采集方案
2.1 非综合自动化变电站的信息采集
非综合自动化变电站的特点是RTU所采集的数据量少,数据不全,不能满足调度决策系统的要求,与电力信息网络强大的功能不匹配。因此需要增添信息采集设备。
非综合自动化变电站信息的采集如图1所示。其中,信息采集服务器由工控机和多路串行通信卡组成,软件在Windows环境下用VC++语言完成;路由器分两种情况。对于星形网,路由器可由100M-2M接口转换器代替,以节省投资。对于环形网,需要性能良好的路由器;通信网是指本文设计的星形网或环形网。

通信规约分两种情况考虑。从保护设备、故障录波设备和RTU至信息采集服务器的通信规约采用设备中已经运行的规约;从数据采集服务器至调度中心的通信规约可以选择。这里用IEC61850规约。数据在TCP/IP的应用层传输,从而实现电力信息的网络化传输。
2.2 综合自动化变电站的信息采集
综合自动化变电站的特点是总控管理机已经对电力信息进行了比较全面的采集,因此对于这类变电站只要接收总控管理机送给后台机的信息即可。对于综合自动化变电站的信息采集应分两种情况考虑:一是具备以太网、LonWorks网或CAN网的综合自动化变电站;二是总控管理机至后台机只有普通串口的综合自动化变电站。其数据采集方案如图2所示。图2中,总控管理机至信息采集服务器的接口可能是以太网、LonWorks网或CAN网接口,也可能是RS232接口。

2.3 已经具备数据采集设备的变电站
已经具备数据采集设备的变电站并不多,如兰州只有三座变电站具备数据采集设备,该数据采集设备的型号是POFIS100。这些数据采集设备对保护、故障录波、RTU的数据已经采集的得非常全面,其总输出为RS232接口。对于这类变电站的信息采集只需在变电站内直接接收POFI100的输出数据即可。如图3所示。
3 电力信息网络设计方案
3.1 概述
某座城市中,覆盖所有变电站的电力信息网络的直径大于200kM。因此,按网络类型的地理分类法,电力信息网应属于广域网(WAN)[3]。
电力信息网近期能够实现的目标是具有2Mb/s传输速率的广域网。目前,电力系统通信的主干网络是光纤通信。经过大量细致的调研,包括与光终端设备的生产厂家的共同论证,证明了电力信息网络几乎不可能采用总线式结构。这是因为主干光纤通信系统都是环形结构,不支持总线式通信方式。当然,由于光纤通信系统采用环形结构,电力信息网也不可能采用树形结构。因此,电力信息网只能考虑星形和环形结构相结合的折中方案。
3.2 星形网设计方案
在星形网络结构下,每座变电站与调度中心之间都分配一条2M的光纤通道,但并非所有的变电站都具备这样的条件。在我国大城市,能分配出2M通道的变电站也只占20%。而中小城市只占10%。以兰州供电公司为例,能组建成2M星形的变电站共有9座,如图4所示。星形网的变电站端需要接口转换器,将2M同轴接口转换为100M的RJ45接口。在调度中心用网络交换机接收星形网信号。

有些变电站既不能纳入2M星形网,也不能纳入环形网,因为这些变电站没有高速通道。对于这些变电站至少应提供一条64kb/s的数字通道,以便纳入星形网络。
3.3 环形网设计方案
能被纳入环形网的变电站是那些不能直接提供2M通道,而又在光纤通信网环上的变电站。在这些变电站中,按地理分布间隔地取出若干组成令牌环网。以兰州供电公司为例,能组建成2M环形的变电站有很多。环内的变电站数量要根据实际情况而定。一般的原则是:将环内能提供的2M通道数与通信质量进行折中。如兰州供电公司在东环网能提供两个2M通道,而环内有14座变电站需要进入电力信息网,因此在东环网设计两个令牌环网。如图5和图6所示。


令牌环网中的变电站端和调度中心都需要一台令牌环网的路由器。路由器的配置应具备两个2M接口和至少一个RJ45接口。由于若干座变电站共用一个2M通道,因此环形网通信质量要低于星形网。主要体现在数据的延迟上。不过组建环形网络是折中的方案,它比其它方式的独立通道的通信质量要好得多。
4 电力信息网络的性能评价
4.1 星形网性能评价
星形网的传输延迟由3部分组成:变电站端数据包排队等待时间t1、数据传输时间t2和调度中心排队等待时间t3。
设:某座变电站的数据包生成率为l包/s,每个数据包的长度为Lbit/包(数据包不等长时取平均值),通道容量为cbit/s,则

变电站端数据包排队等待时间为[4]

式中 tp为数据传播时间。
当调度中心的网络速度为ccbit/s ,星形网内变电站数量为n 时,有
网络服务率(单位为包/s)为

则调度中心排队等待时间为


根据统计分析,变电站的数据包生成率λ一般小于20包/s,每包长度L小于1500bit/包,星形网通道容量cc=2Mbit/s中心站网络速度cc= 100Mbit/s,光纤传播速度为5μs/km,网络半径为100kM,变电站数小于100座。所以τ1<10μs,τ2<1.2μs,τ3<60μs,最后星形网的总延迟小于1.3ms。完全能满足电力系统的实时要求。
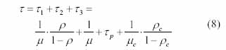
4.2 环形网性能评价
环形网的传输延迟由3部分组成:变电站端数据包排队等待时间τ1、数据传输时间τi和调度中心排队等待时间τ3。
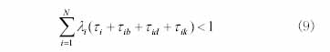
其中τ1和τ3的的分析方法同4.1节。数据传输时间τi由4部分组成:报文时宽τi1 、报文传播时间τib、工作站延迟τid和令牌通过工作站时的延迟τik。显然,当每座变电站的数据包生成率为λi时,系统的稳定条件是

式中 N是环内变电站数量。
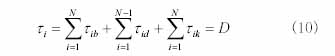
当τi1<τib+τid,即报文时宽小于报文传播时间与工作站延迟之和时,则数据传输时间τi为常数D,即

当τi1>τib+τid时,即报文时宽大于报文传播时间与工作站延迟之和。则数据传输时间τi为

根据统计分析,光纤传播速度为5μs/km,网络半径为100Km ,环内变电站数小于10座,报文传播时间τib<2π×100×5=3.14ms, 工作站延迟τid<2ms, 令牌通过工作站时的延迟τik<2ms,报文时宽τi1<0.75ms。由4.1节的结论,有τ1<10μs,τ3<60μs。
最后环形网的总延迟小于43.1ms。基本能满足电力系统的实时要求。
5 结论
电力信息网络的设计方案是在按重要、主要、次要将变电站分层,并充分考虑了现有通信网络的容量和可行性的基础上设计的。如在通道容量允许的情况下采用2M星形网络结构,而在通道容量紧张的地区则采用令牌环网络方式或64K星形网络结构。通过论证,得出了星形网和环形网都能满足电力系统实时数据传输要求的重要结论。否定了在电力系统中应用总线网和树形网的可能性。该系统的建成不仅可以满足决策支持系统的需求,作为2M的计算机网络系统,还可以支持其它网络业务和电力系统数据共享。
参考文献
[1] 洪宪平(Hong Xianping).走向网络化的远动系统(Telecontrol system tending towards network)[J].电力系统自动化(Automaton of Electric Power System),2001,25(6):1-3.
[2] 甘德强,胡江溢,韩祯祥(Gan Deqiang,Hu Jiangyi,Han Zhenxiang).2003年国际若干停电问题思考[J],电力系统自动化(Automaton of Electric Power System),2004,28(3):1-4.
[3] 精英科技.网络协议大全[M].北京:中国电力出版社,2001.
[4] 毛京丽,张丽,李文海.现代通信网[M].北京:.北京邮电大学出版社,1999.