王 彬,丁振国
摘 要:在计算机网络中,当双绞线过长、质量太低或布线工艺较差时,网络往往无法连通。为了解决此问题,提出了一种解决方法,并用傅里叶公式对其进行了理论分析。
关键词:网络工程;双绞线;傅里叶公式;Internet
Non-standard Applications of Twisted-pair in Long Distance
Distribution for a Computer Network
(Xidian University,Xi′an,710071,China)
Abstract:For a computer network,when the twisted-pairis too long or its quality is too poor orthe processing oftwisted pairdistribution is worse,the computer network can not be kept connected frequently.To solve this problem,the paper proposes asolution and analyzes it using Fourier formula in this paper.
Keywords:network engineering;twisted-pair;Fourier formula;Internet
一般来说,计算机网络布线系统采用何种线缆,需要根据实际的需求和线缆的相关使用标准来进行选择。例如:按照以太网(IEEE802.3系列)标准,如果主机与网络设备之间的距离超过100 m,就不应使用双绞线布线。但是在实际的网络设计中,常常会遇到一些特殊情况,如:“没有足够的资金购买光缆等媒介及两端设备”或“临时性机构,没有必要使用昂贵的线缆”,使我们面临难以抉择的境地。
本文主要讨论当距离超长时,在工程实际中是否可以非标准的使用双绞线布线。
从原理上分析,对于双绞线布线距离的限制主要有以下2个方面:以太网的最短帧长和距离超长造成的线缆传输特性下降,下面将分别进行分析。
1 以太网中最短帧长对线缆长度的限制
以太网络的工作方式可以简单的使用“载波侦听/冲突检测(CSMA/CD)”来描述。其中的“冲突检测”表示:当某计算机(如:主机A)以广播的形式发送某帧时,在发送的过程中一直检测信道,通过比较发出信号是否与检测到的信号一致,决定发出的帧是否和其他计算机(如:主机B)发出的帧产生了冲突,如果A主机在发送某帧的过程中没有检测到冲突,就认为这一帧发送成功。
但是,如果帧与链路的冲突域相比太短,就会发生图1中“冲突检测”失败的情况。
如图1(a)所示,主机A发出一帧,由于帧长与链路的冲突域相比较短,在发送的过程中没有检测到冲突,认为此帧已经发送成功。
如图1(b)所示,主机A与主机B分别处在冲突域的两端,电磁波从A主机传送到B主机需要的时间为τ。帧头差时间ε还没有到达B主机。
如图1(c)所示,由于主机B还没有检测到主机A发出的帧,所以有可能也发出一帧。在主机A发出帧时间τ后,在主机B处发生了冲突。
如图1(d)所示,冲突的信号需要再经时间τ才能到达主机A。
结果:主机A认为这帧已经发送成功,但实际上此帧在主机B处发生了冲突,“冲突检测”失败。

所以每帧必须至少可以持续发送2τ时间(即经过2τ时间后此帧还没有发送完),这样才能保证“冲突检测”机制的成功。
τ的大小由网络协议标准定义,当τ确定后,则最短帧长也被确定,反过来一个冲突域的最大范围便被确定(在10 Mb/s以太网中,2τ被定义为51.2μs,最短帧长为64 B,一个冲突域最多由4个中继器组成),进而一个冲突域中的线缆最大长度也会有一个限制。
分析原因:早期的同轴电缆只有一个总线式信道,并且网络设备大多为物理层的设备(如:中继器,HUB),他无法摆脱以太网的多主机共享链路方式(CSMA/CD)的本质所造成的限制。
但实际上,一条双绞线内有8根线缆可供使用,并且数据链路层的设备(如:交换机)的价格大大下降。现在可以彻底地摆脱这种限制。解决的方法是:使用交换机将每一段线缆划分成不同的冲突域,并将网络接口设备的工作模式设置为全双工。这样每个主机在收和发的方向都有了一个专用的信道,不再需要CSMA/CD,也就没有了冲突域对线缆长度的限制。所以以太网的最短帧长对线缆长度的限制是可以被解决的。
实际上在万兆以太网协议(IEEE802.3ae)中,就没有定义CSMA/CD的工作模式,其中重要的一个原因就是为了取消冲突域对网络线缆长度的限制。
2 随距离增加,线缆传输特性的下降对线缆长度的限制
2.1 信号总体功率下降对线缆长度的限制
正常情况下,五类双绞线的直流阻抗为9Ω/百米,当双绞线长度不超过200 m时,其直流阻抗在18Ω(9Ω/百米×2百米)以内。而布线要求总阻抗不能大于19Ω。所以200 m以内双绞线的直流阻抗引起的信号总体功率下降,一般不会影响接收设备对信号的获得,所以在此距离采用五类双绞线布线可以不必考虑直流阻抗的影响。
2.2 线缆频率特性下降对线缆长度的限制
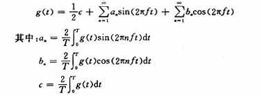
根据傅里叶级数公式:

任何持续的数据信号,都可以被分解为正弦和余弦函数的n次谐波。
在计算机局域网中,使用双绞线进行基带传输[1](即数字信号不经过任何调制,而是只经过简单的频谱变换或码形变换后就直接送往传输信道)。这样就可以将双绞线上的传输信号作为方波进行分解,变换为谐波后再进一步研究。
如图2所示[2],当方波信号通过一个低通信道时,可以等幅衰减通过的谐波数量越多,则接收设备正确识别原始方波信号的可能性就越大,反之信号将难以识别。
如图3所示,双绞线的频率特性正是一个低通信道,可 以等幅衰减的通过从A点(低频)到C点频率的谐波。当线缆距离过长时,会造成AC之间的距离变窄及等幅衰减通过谐波数量下降。


下面按照4种不同假设情况进行推导并得出结论。
假设1:
①长度为100 m的五类非屏蔽双绞线;
②双绞线上传输速度为100 Mb/s的信号;
③双绞线的等幅衰减的带宽为BHz(如图3):B=C-A。
推导1:
由于在传输速度为100 Mb/s的以太网中,采用的编码方式是4B/5B(即为解决传输中的同步问题,实际使用5 b的码组来编码4 b的实际输入数据[3]),则通信线路上实际传输的方波信号每秒状态的变化次数为125M,即125M b/s。
如果每秒信号变化125M次,则状态变化8次需要的时间为:8/125M s。
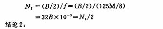
根据傅里叶级数公式,一次谐波的周期T为:8/125M s;一次谐波的频率f为:125M/8 Hz。
方波信号(每秒状态变化次数为125M次)通过长度为100 m五类双绞线后,可以等幅衰减通过的谐波数量N1(个)为:

结论1:
因为假设1符合五类双绞线的布线标准,所以当等幅衰减通过的谐波数量为N1时,接收方设备可以识别。
假设2:
①长度为大于100 m的五类非屏蔽双绞线;
②双绞线上传输速度为100 Mb/s的信号;
③双绞线的等幅衰减带宽变窄为B/2 Hz。
推导2:
可以等幅衰减通过的谐波数量N2(个)为:

随着双绞线长度的增加,其等幅衰减频宽B变窄后,可以通过的等幅衰减谐波数量也将减少,如图2所示,当N2小于4时输出信号将难以被接收设备识别。
然而在假设2下,很难保证等幅衰减通过足够的数量的谐波。
根据公式N=B/f,当B减少时,只有降低f(即降低双绞线上信号的传输速度),才能保证N不变。
假设3:
①长度大于100 m的五类非屏蔽双绞线;
②双绞线上传输速度降为10 Mb/s的信号;
③双绞线的等幅衰减的带宽变窄为B/2 Hz。
推导3:
在以太网协议中,10 Mb/s与100 Mb/s为最常见的数据传输速度,所以可以考虑将数据传输速度降为10 Mb/s。
在10 Mb/s的以太网中,采用的是曼彻斯特编码(即为了解决传输中的同步问题,实际使用2 b的码组来编码1 b的实际输入数据),所以通信线路上实际传输的方波信号每秒状态的变化次数为20M,即20M b/s。
如果每秒信号变化20M次,则状态变化8次需要的时间为:8/20M s。
根据傅里叶级数公式,一次谐波的周期T为:8/20M s;
一次谐波的频率f为:20M/8 Hz。
方波信号(每秒状态变化次数为20M次)通过此双绞线后,可以等幅衰减通过的谐波数量N3为:

即使线缆长度增加导致了等幅衰减带宽变窄一半,但如果将数据传输速度降为10 Mb/s,假设3下可通过的谐波数量N3将为假设1(正常情况)下N1的3.125倍。
在此情况下,接收方设备完全可以识别信号。
假设4:
①长度为大于100 m的五类非屏蔽双绞线;
②双绞线上传输速度为10 Mb/s的信号;
③双绞线的等幅衰减的带宽变窄为B/k Hz;
④等幅衰减通过的谐波数量N4=N1。
推导4:

结论4:
在假设4下即使线缆等幅衰减带宽下降为原来16%(1/6.25),只要降低数据通信的速度,也可以保证接收的谐波数量达到正常的情况(假设1)下的N1,即接收方可以正确识别。
3 结语
根据以上的分析,笔者认为在设计一段距离为200 m以内的线路的时候,可以非标准的使用双绞线进行布线,但具体应采用以下方法:
(1)为保证整体网络的速度,可以使用接口为10/100 Mb/s自适应的交换机,但将与这条双绞线连接的交换机端口强制设为10 Mb/s和全双工模式。
(2)采用五类或超五类双绞线布线,提高施工工艺,尽量避开强干扰源,以减少线缆性能参数的下降。
在实际工程中,对使用一段长度约200 m的双绞线进行连接的计算机进行测试:
①使用IE浏览器访问Internet正常;
②使用ping程序进行测试,10 min丢包率为0%。结果证明以上基于傅里叶的分析是合理的。
另外,本方法也可以适用于早期的3类双绞线或由于线缆品质低及布线工艺较差造成无法在10/100 M自适应网络中使用的情况,可以降低成本并减少重新布线的麻烦。当然如果双绞线的长度进一步增加,那么直流阻抗及其他参数对总功率的衰减,可能会造成接收设备无法检测到信号,所以这种依靠降低速度来实现通信的手段只能在一定的范围内使用。
参考文献
[1]张应中.数字通信工程基础[M].北京:人民邮电出版社,1987.
[2]AndrewSTanenbaum.计算机网络(第3版)[M].北京:清华大学出版社,1998.
[3]高传善.数据通信与计算机网络[M].北京:高等教育出版社,2000.