王祥忠
摘要:系统地描述了偶极板天线水平和垂直方向性函数,介绍了偶极板天线的主要参数选择原则,讨论了两种常用的波束下倾和零点填充方案,提出了总体设计中必须注意的问题。
关键词:偶极板天线 方向性函数 主波束下倾
Abstract:This paper describes horizontal and vertical directivity functions of dipole planar antenna, introduces the principles on the determination of main parameters and discusses two frequently used schemes for obtaining down ward inclined main lobe and zero points cancellation.Some points on which attention must be paid in system design are pointed out.
Key words:Dipokle planar antenna Directivity function Main lobe down ward inclinecelld
带反射板的偶极子天线(下称偶极板天线)是目前国内外广播电视工程上广泛使用的一种天线。这种天线增益较高(四层双偶极板天线增益可以做到8 dB),频带较宽,米波段调配f0±50 MHz带宽很容易,带内驻波比SWR≤1.05,分米波段一副天线能进行多电视频道电视发射,水平方向图不圆度可以做到≤±2dB,并且具有安装容易、调试简单、天线效率高等特点。
1 偶极板天线方向性函数图
1.1 单偶极子天线方向性函数
(1)
式中
为水平方向性函数;Fv(Δ)=1为垂直方向性函数;l为振子总和长度; λ为波长;θ为方位角;Δ为俯仰角。
不同臂长l的偶极子天线水平方向性图如图1所示。

图1 不同臂长l的偶极子天线水平方向性图
广播电视工程上振子臂长l的选择,要以获得较高的增益、同时又满足水平全向性为原则,一般宜选l=(0.6~0.7)λ。实际使用的振子长度应当为谐振长度,一般振子实际长度l0=0.95l 。
偶极子天线垂直方向性函数Fv(Δ)=1,这就是说偶极子天线垂直方向性图是关于振子轴线的旋转体。
1.2 单偶极板天线方向性函数
单偶极板天线的水平方向性函数,可用镜像法由图2求得。

图2 带反射板的偶极子天线及其镜像
y轴为无限大反射板俯视线,A为有源振子,电流方向朝上,B为其镜像。根据理想导体表面电场强度的切向分量为零的边界条件,镜像电流方向应当朝下。H为振子离反射板的距离。
对于r
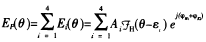
H平面上任一点P,源振子和其镜像构成一个等幅反相二元天线阵,其阵因子的模

式中φ=k(2Hcosθ)-π为镜向电流B到P点滞后的相位差;k=2π/λ为自由空间传播常数。
根据方向性函数相乘原理,单偶极板天线水平方向性函数
(2)
由上式可见,由于反射板的作用,在主辐射方向θ=0 °,原场强增加了2sin(kH)倍。
反射板对偶极子天线辐射场的影响,可由阵因子f1(θ)=2sin(kHcosθ)来研究。图3 给出了
为不同值阵因子f1(θ)的方向图。

图3 不同H/λ值阵因子f1(θ)方向图
由图可见,不论
值是多少,在
方向都是零辐射方向。对于相同的波长λ来说,振子离反射板的距离H愈大,方向图的波瓣愈多。
为了减少副瓣和零点,同时又要保证一定的方向性系数,工程上一般取
为宜。
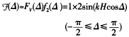
单偶极板垂直方向阵因子f2(Δ),可用相同的方法,由图4 直接推出f2(Δ)=2sin(kHcosΔ)

图4 垂直方向阵因子f2(△)
因此单偶极板天线垂直方向性函数为
(3)
2 多层多面偶极板天线阵方向性函数
2.1 天线阵水平辐射场
广播电视工程上实际使用的偶极板天线,一般是由多块偶极板组成的多层多面偶极板天线阵,而每块板由二或四偶极子构成。每层由四块偶极板正装而成的天线阵俯视图如图5所示。

图5 四块正装偶极板天线俯视图
该天线阵在远区任一点P的水平场强EP(θ),根据矢量叠加原理
(4)
|
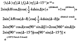
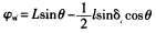
式中Ai为第i副天线辐射场的相对振幅值; H(θ-εi)为单偶极板天线的水平方向性函数;εi为第i副天线主辐射方向与x轴正方向夹角;φH i为第i副天线以坐标轴原点为参考,由于波程差引起的空间相位角 φH i=kRcos(θ-εi) R为原点到偶极子的距离;φK i为第i副天线输入端电流相位角,可以同层中任一副天线入口电流为参考,超前为正,滞后为负。 偏置侧装式如图6所示。

图6 四块侧装偶极板天线阵俯视图
由图6不难推出 式中 r为振子中心的偏置位移。 在计算图5所示的四面正装偶极板天线阵水平方向性函数时,考虑到反射板的作用以及几何对称性,实际上只需要计算偶极板A1,A2在第一象限的方向图即可,其余象限的方向图由此可以推出。 电流等幅同相馈电正装情况下,忽略f1(θ)的相位函数,式(4)可以简化成   相对场强Ep(θ)的模(这里也是水平方向性函数之模)  2.2 天线阵垂直辐射场 为了增强垂直方向图的方向性系数,提高增益,扩大覆盖面,如前所述,实际使用的偶极板天线,垂直方向上每列都是由多层单元天线构成的天线阵。四层直立式天线阵一列侧式图如图7所示。

图7 四层直立天线阵俯视图
如图7 所示的n个相似的单元天线,中心以等距离d排列在同一直线上,电流振幅相等,电流相位按等差数列自下而上滞后β的天线阵,称之为匀直线天线阵,其阵因子 (6) 阵因子f3(Δ)对垂直辐射场的影响,可由图8来讨论。

图8 阵因子f3(△)方向图
为了避免垂直方向图出现栅瓣,工程上单元天线之间的距离d一般不超过λ/2。 对于这种均匀直立式天线阵,垂直方向性函数
(7) 考虑到波束下倾和零点填充问题,广播电视天线常用机械下倾和各层电流振幅及相位不等馈电法。机械下倾如图9所示。这种情况下垂直方向辐射场强可由下式计算

图9 机械下倾板相位滞后图
(8) 式中 为第i层天线单元的垂直方向性函数;δ为第i层天线单元的机械下倾角;φvi为以某一点为参考,由于波程差引起的空间辐射相位差。以下一层中点为参考,倾斜板相位滞后角 (9) 其中L为层间距离,l为偶极板的高度;Ai和φKi分别为第i层天线单元入口电流振幅和相位的相对值。
3 偶极板天线总体设计中必须注意的几个问题
3.1 水平方向性图的不圆度 全向发射天线水平辐射场是旋转场,和水平方向性图不圆度是两个截然不同的概念。广播电视发射天线要求在水平方向上全向辐射,水平方向性图的不圆度要求≤±2 dB,这在设计中是必须注意的问题之一。 作为一个设计实例,图5所示的四面正装等幅同相馈电的偶极板天线阵,振子臂长l=0.7λ振子离反射板的距离H=λ/4,偶极子中心点离塔轴线距离R分别取1λ,1.2λ,1.5λ,根据式(5)计算得到的水平方向性图如图10所示。 |

|
注:l=0.7λ H=λ/4 (a)R=1λ (b)R=1.2λ(c)R=1.5λ 图10 图5天线阵水平方向图
由图10可见,对于以上给定的参数,为了满足水平方向性图不圆度≤±2 dB指标,就必须使得R<1.2λ。这对于米波段天线来说可能是不难做到的,但对于分米波段电视天线,由于塔体水平截面的限制,往往就很难实现。在这种情况下,为了改善水平方向性,工程上常采用多面形发射天线阵来解决。具体设计方法,可参见有关文献[2]。 3.2 垂直方向性图的畸变 当均匀直立天线阵的层数较多时,垂直方向性图主要由(6)式f3(Δ)阵因子所决定。由(6)式可以推导出最大辐射方向俯仰角 Δmax=sin-1β/kd (10) 各层电流同相馈电时,β=0°最大辐射角Δmax=0°即主辐射方向与塔中垂线垂直,称之为正侧射阵。 β < 0°亦即天线阵自下而上各层电流相位超前一个相位角,Δmax< 0°,主辐射方向下倾。 β > 0°亦即天线阵自下而上各层电流相位滞后一个相位角,Δmax> 0°,主辐射向上翘。 特别当β=kd时,这时主波束与地面垂直,变成了端射阵。 各层电流出现非理想相位差,这是极易发生的。主馈管之间、分馈线之间电气不等长,设计中借不等长分馈线达到波束下倾目的,而实际施工中错误装配等等,均能使垂直方向图畸变。 图11是黄山701台1993年调频天线改造时的天馈系统配置图。两部10 kW调频发射机工作频率中心频率f1=91.5 MHz,f2=103.6 MHz设计中心频率f=100 MHz 。整个天馈系统设计为双二双馈四层四面偶极板形式,每块偶极板设计为双偶极子,偶极子间距离d=λ/2。一面侧视图如图12所示。

图11 双工双馈调频天馈系统配置图

图12 四层双偶极板天线侧视图
安装调试后,在两根主馈管入口处测得的驻波比WSR≤1.05,由于客观原因,两根主馈管在施工中只作了几何等长处理,改造后的实际效果很差。 以后经MA3620网络分析仪对两根主馈管电气等长进行了重新测试,结果如表1。
表1 主馈管相位电器测试结果 |
| 中心频率 |
主馈管1 |
主馈管2 |
主馈管3 |
| 100MHz |
21° |
332.2° |
311.2° |
| |
池门 |
祁门 |
黄山区 |
黟县 |
| 等长前/dB |
18 |
23 |
66 |
68 |
| 等长后/dB |
>46 |
53 |
74 |
77 |