| |
SOTDMA技术应用及其性能分析 |
|
[ 通信界 / 李大军, 姚罡,常青,梅顺良 / www.cntxj.net / 2007/8/2 10:15:35 ] |
|
|
|
| |
李大军, 姚罡,常青,梅顺良
[摘要]以船舶自动识别系统(AIS)为应用背景,介绍了SOTMDA的特点和应用方式,详细给出了自组织网络中的时隙选择策略、自组织接入技术和网络登陆方式,并在此基础上分析了其网络性能和时隙冲突。
自组织时分多址技术SOTDMA(Self-Organized Time Division Multiple Access),是在TDMA基础上发展起来的一种新型的、用于未来航海和航空交通管理的通信技术,是全球定位及通信系统(GP&C)的核心。在没有通信基础设施支持、网络节点变化剧烈的场合,自组织网络引起越来越多的关注。
国际海事组织(IMO)第42次会议上,决定船舶自动识别系统(AIS)采用SOTDMA技术。本文正是以SOTDMA在AIS中的实际应用为背景,研究SOTDMA技术和性能。
与常见的有线固定网络以及无线局域网相比,自组网络具有以下特征:
(1)网络的自组性。自组织网络可以在任何时刻任何地点同时产生多个网络环境支持移动协同计算,不需要基站支持。
(2)动态的拓扑结构。由于网络中的节点可以任意速度和任意方式移动,节点间通过无线信道形成的网络拓扑结构可以随时发生变化。
(3)分布式控制网络。网络各节点没有重要和次要之分,从而可以防止一旦控制中心被破坏而引起的全网瘫痪的危险。
SOTDMA与一般TDMA技术很大的区别在于其时隙的预约方式。在SOTDMA技术中,信道时间被分为固定长度的时间间隔。一帧包括一组时隙,跨度为1min,所有数据链上的电台都易于接收和传送信息。信息报告在数据链上可以根据传输情况占有一个或更多的时隙。如图1所示。

图1 SOTDMA示意图
1 时隙选择策略
SOTDMA的一个重要特征是它采用一种为一个新传输或为将来传输而进行时隙预定的接入方法。当信道不忙时,时隙的选择是直接的,因为很容易就能找到没有被其它站台预定的时隙。当信道变忙而不容易找到未预定的时隙时,SOTDMA技术允许一个站台根据Robin Hood准则使用已被另一个远距离站台预定的时隙。这种时隙选择方法的益处是时隙的选择可以由所有移动站台自主完成,而不需要由控制站进行信道资源管理。时隙选择的策略如下:
(1)当一个站台发射数据或为将来发射数据而进行时隙预定时,首先确定将要选择时隙的范围SI。在网络登陆阶段,SI一般取150个时隙,大约相当于4s;在连续运行时,该值与报告率有关,一般取值范围为报告间隔的五分之一。
(2) 计算出一个候选时隙的列表。这些候选时隙是选择范围内的一部分时隙,由“自由(未预定)”时隙和“可用”时隙组成。可用时隙是指那些已被其它站台预定的,但可以依据准则进行复用的时隙。在最终选择一个时隙前,找出4个以上的候选时隙是很重要的,因为这样可以将多个站台选择同一时隙的可能性降低到可以接受的水平。
(3)当从一个信道的候选时隙中进行最终选择时, 要考虑另一个信道中的情况。如果另一个信道中的相应时隙被一个近距离站台使用,这个时隙就要从候选时隙列表中删除。
(4) 由于信道转换需要时间,系统自身无法在位于两个平行信道相邻的时隙上传输信息。因此,在一个信道所用时隙任意一边的两个相邻时隙不应作为另一个信道上的候选时隙。
(5) 最终时隙是从可选时隙中等概率地随机选出。所有可选时隙的选择可能性是完全一样的。
(6) 时隙选择应在两个信道上平行进行,周期性重复播发信息的传输应在这两个信道之间交替发射。这种交替传输是以信道上的信息报告率为基础的,与时间帧和时隙无关。
2 自组织接入技术与网络登陆步骤
自组织接入算法是保证系统进行自主和连续运行的关键。该算法所涉及的主要参数有NSS、NS、NI、RR、SI、NTS和TMO,如表1所示。
表1 SOTDMA接入算法的参数
| 符号 |
名称 |
说 明 |
最小值 |
最大值 |
| NSS |
标称开始时隙 |
系统在链路上传输的第一个时隙 |
0 |
2249 |
| NS |
标称时隙 |
选择时隙的参考中心 |
0 |
2249 |
| NI |
标称增量 |
标称时隙间的时隙数 |
75 |
1125 |
| RR |
报告率 |
每帧中理想的船位报告数量 |
2 |
30 |
| SI |
选择间隔 |
船位报告候选时隙的选择范围 |
0.2NI |
0.2NI |
| NTS |
标称传输时隙 |
在选择间隔SI内选中的时隙 |
0 |
2249 |
| TMO |
超时 |
连续占据某时隙的次数 |
3 |
7 |
AIS站台在开机后首先进入1min的初始化阶段。在此阶段,系统要监视SOTDMA信道上的时隙占用情况,了解信道的活动状态,确定其它站台的身份、当前时隙分配和其他用户报告的位置,建立在整个链路上运行的所有站台的通信目录和反映信道活动状态的时隙表。1min后,系统进入网络登陆阶段,开始根据不断刷新的时隙表进行信号发射。
在网络登陆阶段,系统选择信息传输的第一个时隙, 以便让链路上的其它站台发现自己。首次发送的信息总是船位报告,发射该报告的时隙NSS应当在当前时隙至未来标称增量NI的时间范围内随机选择。该时隙作为第一帧阶段选择标称时隙NS的参考,如图2所示。NI为:

图2 时隙选择示意图
NI=2250/RR (1) 标称时隙为: NS=NSS+(n×NI)(0< n< RR) (2) 在第一个时隙发射之前,应当选择好下一个要发射的时隙。如图2所示,在选择第二个发射时隙时,先以标称时隙NS为中心,向其前后确定一个选择范围SI: SI={[NS-(0.1×NI)], [NS+(0.1×NI)]} (3)
然后,按照上节叙述的策略随机地选择发射时隙NTS。在选择每一个需要重复使用的时隙时,都要为它随机地从3到7之间选择一个"超时"值。这个值将插入数据报文中,以便通知其它站台该时隙已被本站预约。
经过第一帧的时隙分配与发射,新入网的船站就完成了入网过程,随后系统进入正常运行状态(自主连续运行阶段)。 3 时隙冲突分析
当几个船站的VHF信号覆盖范围相重叠时,各个用户的时隙选择窗口会出现重叠的情况,于是有可能发生时隙选择的冲突。这时,假设各个站台的报文报告率RR相同,则各用户的时隙选择窗口宽度SI相同。下面分析在两艘船时一个时隙选择中可能发生冲突的概率。
假设船A与船B的时隙选择窗口SI重叠了M个时隙。由SI=0.2NI可得NI=5SI。每艘船可选择的窗口都有NI-SI+1=4SI+1种情况,当重叠M个时隙时,两艘船时隙的总长度为:2SI-M。因此重叠的可能有NI-(2SI-M)+1=3SI+M+1种情况。
(1)当两个用户的时隙选择窗口完全重合,即M=SI时,只有一种可能的重叠情况。其概率为: P01=(3SI+M+1)/(4SI+1)2=1/(4SI+1) (4)
(2)而当不完全重合即M< SI时,则有两种情况,可能从左边,也可能从右边重合。即: P02=2×(3SI+M+1)/(4SI+1)2 (5)
因此由上面的推导可得SI重叠M个时隙的概率为:
当船A与船B在SI重叠M个时隙的条件下,选择一个具体的发送时隙发生冲突的概率为:
由全概率可得在传送一个报文时,发生冲突的概率为:
当发送n次连续的报文时,对于固定的报文数量,RR越高,意味着每帧中传送的报文越多,而需要传送的总帧数越少,反之亦然。由于各帧相互独立,各帧中的每个时隙窗口也相互独立,由二项分布可知,在n次发送报文中,有L次时隙冲突的概率分布为:
同时,也可以得到系统连续发生k次冲突的概率为: P5=(P3)k (10)
表2给出了两艘船的报告率RR分别为2、15、30时,发送报文发生冲突的概率。从表2的结果可以看出,发生时隙冲突的概率相当小,加上信道编码等差错控制,这种信道质量是可以满足AIS系统要求的。另外可以看到,随着RR的增加,时隙冲突的概率明显增加。
表2 发生1次时隙冲突的概率 RR 时隙冲突概率
| RR |
时隙冲突概率 |
| 2 |
0.0010 |
| 15 |
0.0076 |
| 30 |
0.0151 |
表3给出了当两艘船RR=15时,连续发生1、2、3、4、5次时隙冲突的概率。可以看到,SOTDMA信道连续发生时隙冲突的可能性不大,这样非常有利于信道的差错控制。
表3 两条船发生L次连续时隙冲突的概率 L 时隙冲突概率
| L |
时隙冲突概率 |
| 1 |
0.0076 |
| 2 |
5.8×10-5 |
| 3 |
4.3×10-7 |
| 4 |
3.3×10-10 |
5 |
2.5×10-11 |
图3为当两艘船报告率分别为2、15、30,报文总数n=1000时发生时隙冲突的概率分布。从图3曲线可以看出,报告率越小,发生冲突的次数越偏向于0,平均值越小,信道传输质量越高。

图3 时隙冲突概率与报告率的关系
下面基于以上的分析推导N个船站的VHF信号覆盖范围重叠时发生时隙冲突的概率。当有N个船站时,其中任意两艘船之间的某一预约时隙有可能发生冲突,任意三艘船之间的某一预约时隙也有可能发生冲突,甚至任意N艘船之间的某一预约时隙也可能发生冲突。
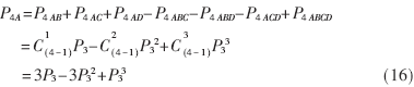
根据概率论知识,假设三艘船分别为A、B、C,由任意两艘船发生一次时隙冲突的概率为P3,则当A选中一个时隙时,与B、C发生时隙冲突的概率记为:P3AB、P3AC,易知它们都为P3。三艘船同时发生冲突的概率记为:P3ABC。所以A发送报文时发生冲突的概率为:
P3A=P3AB+P3AC-P3ABC (11) 由于A、B冲突事件与A、C冲突事件相互独立,所以: P3ABC=P3AB×P3AB=P32 (12) 同理可得四艘船同时发生冲突的概率为: P4ABCD=P33 (13) 依次推导,N艘船同时发生冲突的概率为: PN=P3N-1 (14)
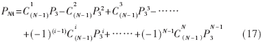
因此可得三艘船存在时,其中一艘船发送一个报文时发生冲突的概率为:
 四艘船存在时,其中一艘船发送一个报文时发生冲突的概率为:
依次推导,可得N艘船存在时,其中一艘船发送一个报文时发生冲突的概率为:
当连续发送n个报文时,由于前后时隙都是独立的,因此发生L个时隙冲突的概率分布为:
本文所涉及的技术都在实际AIS系统平台中得到实现和应用。实际测试中,SOTDMA的时隙选择策略、自组织接入方式都得到了验证。其网络动态性能也完全符合上述的分析和仿真,AIS中采用SOTDMA通信协议进行通信,信道阻塞率较低,发信成功率较高,具有良好的性能。
|
作者:李大军, 姚罡,常青,梅顺良 合作媒体:电子技术应用 编辑:顾北 |
|
|
|
| |
|
|
|
|