您现在的位置: 通信界 >> 测试仪表 >> 技术正文  
 
被完全误解的三运放仪表放大器
[ 通信界 / 维库开发网 / www.cntxj.net / 2010/7/21 16:08:11 ]
 

  图1所示的三运放仪表放大器看似为一种简单的结构,因为它使用已经存在了几十年的基本运算放大器(op amp)来获得差动输入信号。运算放大器的输入失调电压误差不难理解。运算放大器开环增益的定义没有改变。运算放大器共模抑制(CMR)的简单方法自运算放大器时代之初就已经有了。那么,问题出在哪里呢?

 

图1:三运放仪表放大器,其VCM为共模电压,而VDIFF为相同仪表放大器的差动输入。

  单运算放大器和仪表放大器的共享CMR方程式如下:

 

  本方程式中,G相当于系统增益,VCM为相对于接地电压同样施加于系统输入端的变化电压,而VOUT为相对于变化VCM值的系统输出电压变化。

  在CMR方面,运算放大器的内部活动很简单,其失调电压变化是唯一的问题。就仪表放大器而言,有两个影响器件CMR的因素。第一个也是最重要的因素是,涉及第三个放大器(图1,A3)电阻比率的平衡问题。例如,如果R1等于R3,R2等于R4,则理想状况下的三运放仪表放大器CMR为无穷大。然而,我们还是要回到现实世界中来,研究R1、R2、R3 和R4与仪表放大器CMR的关系。

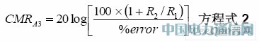
  具体而言,将R1:R2同R3:R4匹配至关重要。结合A3,这4个电阻从A1和A2的输出减去并增益信号。电阻比之间的错配会在A3输出端形成误差。方程式2在这些电阻关系方面会形成CMR误差:

 

  例如,如果R1、R2、R3和R4接近相同值,且R3:R4等于R1/R2的1.001,则该0.1%错配会带来仪表放大器CMR的降低,从理想水平降至66dB级别。

  根据方程式1,仪表放大器CMR随系统增益的增加而增加。这是一个非常好的特性。方程式1可能会激发仪表放大器设计人员确保有许多可用增益,但是这种方法存在一定的局限性。A1和A2开环增益误差和噪声。放大器的开环增益等于20log(ΔVOUT/ΔVOS)。随着A1和A2增益的增加,放大器开环增益失调误差也随之增加。A1和A2的输出振幅变化一般涵盖电源轨。仪表放大器增益更高的情况下,运算放大器的开环增益误差和噪声占主导。通过RSS公式,这些误差降低了更高增益下的仪表CMR。因此,您会看到仪表放大器的CMR性能值往往会在更高增益时达到最大值。

  因此,从CMR角度来看,仪表放大器就像是一个在不同系统增益下器件各部分都诱发CMR误差的系统。当您对器件的内部原理进行研究时,它便不再如此神秘。您把各个部分都分开来,就会一目了然。

 

作者:维库开发网 合作媒体:维库开发网 编辑:顾北

 

 

 
 热点技术
普通技术 “5G”,真的来了!牛在哪里?
普通技术 5G,是伪命题吗?
普通技术 云视频会议关键技术浅析
普通技术 运营商语音能力开放集中管理方案分析
普通技术 5G网络商用需要“无忧”心
普通技术 面向5G应运而生的边缘计算
普通技术 简析5G时代四大关键趋势
普通技术 国家网信办就《数据安全管理办法》公开征求意见
普通技术 《车联网(智能网联汽车)直连通信使用5905-5925MHz频段管理规定(
普通技术 中兴通讯混合云解决方案,满足5G多元业务需求
普通技术 大规模MIMO将带来更多无线信道,但也使无线信道易受攻击
普通技术 蜂窝车联网的标准及关键技术及网络架构的研究
普通技术 4G与5G融合组网及互操作技术研究
普通技术 5G中CU-DU架构、设备实现及应用探讨
普通技术 无源光网络承载5G前传信号可行性的研究概述
普通技术 面向5G中传和回传网络承载解决方案
普通技术 数据中心布线系统可靠性探讨
普通技术 家庭互联网终端价值研究
普通技术 鎏信科技CEO刘舟:从连接层构建IoT云生态,聚焦CMP是关键
普通技术 SCEF引入需求分析及部署应用
  版权与免责声明: ① 凡本网注明“合作媒体:通信界”的所有作品,版权均属于通信界,未经本网授权不得转载、摘编或利用其它方式使用。已经本网授权使用作品的,应在授权范围内使用,并注明“来源:通信界”。违反上述声明者,本网将追究其相关法律责任。 ② 凡本网注明“合作媒体:XXX(非通信界)”的作品,均转载自其它媒体,转载目的在于传递更多信息,并不代表本网赞同其观点和对其真实性负责。 ③ 如因作品内容、版权和其它问题需要同本网联系的,请在一月内进行。
通信视界
华为余承东:Mate30总体销量将会超过两千万部
赵随意:媒体融合需积极求变
普通对话 苗圩:建设新一代信息基础设施 加快制造业数字
普通对话 华为余承东:Mate30总体销量将会超过两千万部
普通对话 赵随意:媒体融合需积极求变
普通对话 韦乐平:5G给光纤、光模块、WDM光器件带来新机
普通对话 安筱鹏:工业互联网——通向知识分工2.0之路
普通对话 库克:苹果不是垄断者
普通对话 华为何刚:挑战越大,成就越大
普通对话 华为董事长梁华:尽管遇到外部压力,5G在商业
普通对话 网易董事局主席丁磊:中国正在引领全球消费趋
普通对话 李彦宏:无人乘用车时代即将到来 智能交通前景
普通对话 中国联通研究院院长张云勇:双轮驱动下,工业
普通对话 “段子手”杨元庆:人工智能金句频出,他能否
普通对话 高通任命克里斯蒂安诺·阿蒙为公司总裁
普通对话 保利威视谢晓昉:深耕视频技术 助力在线教育
普通对话 九州云副总裁李开:帮助客户构建自己的云平台
通信前瞻
杨元庆:中国制造高质量发展的未来是智能制造
对话亚信科技CTO欧阳晔博士:甘为桥梁,携"电
普通对话 杨元庆:中国制造高质量发展的未来是智能制造
普通对话 对话亚信科技CTO欧阳晔博士:甘为桥梁,携"电
普通对话 对话倪光南:“中国芯”突围要发挥综合优势
普通对话 黄宇红:5G给运营商带来新价值
普通对话 雷军:小米所有OLED屏幕手机均已支持息屏显示
普通对话 马云:我挑战失败心服口服,他们才是双11背后
普通对话 2018年大数据产业发展试点示范项目名单出炉 2
普通对话 陈志刚:提速又降费,中国移动的两面精彩
普通对话 专访华为终端何刚:第三代nova已成为争夺全球
普通对话 中国普天陶雄强:物联网等新经济是最大机遇
普通对话 人人车李健:今年发力金融 拓展汽车后市场
普通对话 华为万飚:三代出贵族,PC产品已走在正确道路
普通对话 共享退潮单车入冬 智享单车却走向盈利
普通对话 Achronix发布新品单元块 推动eFPGA升级
普通对话 金柚网COO邱燕:天吴系统2.0真正形成了社保管