0 引言
无线传感器网络综合了无线通信技术、传感器技术、嵌入式系统、分布式计算等多种前沿技术,网络内各节点能够通过无线通信方式(如ZigBee)形成自组织网络,协同感知与处理待测区域内的相关信息并发送给观测者。在无线传感器网络具备诸多优势的同时,其节点在电池能量、数据处理能力、存储能力等方面资源十分有限,因此在数据采集与处理过程中的路由与数据融合是一个影响整个网络生存时间与数据采集效率的关键性问题,这也是当前的研究热点之一。无线传感器网络诞生以来,研究者依据使用环境设计了很多经典的路由协议,其中包括基于节点分簇机制的LEACH(Low-Energy Adaptive Clustering Hierarchy)、定向扩散路由DD(Directed Diffusion)、基于地理位置信息的GEAR(Geographical and Energy Aware Routing)等等。本文主要讨论基于分簇路由的数据融合问题,下面将以LEACH为基础加以分析。
1 LEACH协议分析
LEACH协议是由MIT的Heinzelman等学者提出的一种用于无线传感器网络的低功耗自适应分层聚簇路由算法,其基本思想就是以“轮”为周期循环地随机选择簇头节点,将整个网络的能量消耗尽量分散在每个节点中,延长网络生存时间。每一轮包括两个阶段:簇的建立阶段与数据的稳定传输阶段。在簇的建立阶段,通过算法随机选择某些节点成为簇头,其他节点则选择与其距离最近的簇头形成簇;在数据的稳定传输阶段,每个节点分别采集相关数据传送至簇头,簇头接收簇内各个节点的数据后一起发送给基站。
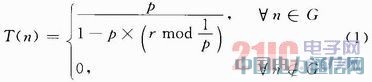
在簇的建立阶段,关键问题就是簇头的选择。为了选择簇头,网络内每个节点都随机生成一个介于0~1之间的数n如果n小于T(n),则其成为簇头,T(n)的计算方法如下:

式中:p为预设的每个节点成为簇头的概率;r为当前运行的轮数;G为最近的1/p轮中尚未成为簇头的节点集合。该算法让每1/p轮中网络内的各个节点都有且仅有一次轮成为簇头。完成簇头选择以后,成为簇头的每个节点都向网络发送广播信息,然后网络内的每个节点通过收到的信号强度决定它要加入的簇(信号的强度与两个节点直接的距离正相关)并向该簇头发送请求信息,形成簇。分簇完成之后簇头节点采用TDMA方式为簇内的每个节点分配其向簇头上传数据的时隙,开始数据的稳定传输阶段,经过一定时间后再开始下一轮的循环,直至节点因能量耗尽陆续死亡,当剩余节点不再满足数据采集的需要时,网络的生命结束。
LEACH协议的分簇拓扑结构无需复杂的路由信息,减少了路由控制过程中消耗的能量,簇内节点大部分时间可以关闭耗能最高的通信模块,将数据转发功能交给簇头节点,有效地节省了簇内节点能量,而簇头的轮换机制也保证了某个节点的能量不至于过快消耗,相对平衡了所有节点的能耗,延长了网络生存时间。
显然,LEACH协议也存在缺点,主要体现在以下两个方面:
(1)簇头选择算法的随机性过大,在每轮的簇头选择阶段,任何节点成为簇头的概率相同,而簇头节点承担了网络中的很大部分通信,包括从簇内节点接收数据与发送数据至基站,当能量较低的节点当选为簇头时必然会导致其能量的快速耗散以至死亡,节点能量的不平衡也将影响网络整体的生存时间;
(2)LEACH协议在数据传输中虽然体现了数据融合的思想,但并未提出数据融合的具体措施。
2 基于LEACH的数据融合算法
针对LEACH协议的不足,本文提出了一种基于LEACH的数据融合算法,旨在克服LEACH的不足并加入数据融合机制,节省网络资源,提升数据采集效率。
2.1 簇头选择算法
因为LEACH的簇头选择算法随机性过大会导致部分节点的能量消耗过快,本算法在簇头选择机制上加入了能量控制因素,让剩余能量高的节点有更大的概率当选为簇头。具体实现方法是通过节点当前剩余能量与其初始能量的比值来影响阈值T(n),T(n)的计算方法如下:

式中:En_current表示节点当前的剩余能量;En_initial表示节点的初始能量;rm表示节点连续未当选为簇头的轮数,每轮进行簇头选择时若该节点当选为簇头,则rm重置为0,而若该节点未当选为簇头,则rm自增一次。
在簇头选择算法中加入上述能量限制因素后,节点当选为簇头的随机性大大降低,剩余能量多的节点比剩余能量低的节点有更大的几率当选为簇头,因此极大地利用了节点的剩余能量,有效防止了某些节点能量消耗过快以致死亡,平衡了网络内节点的能量消耗。
2.2 簇头数据融合树的建立
依据LEACH对无线传感器网络的假设,节点发送信息的能耗ETx(k,d)与接收信息的能耗ERx(k)分别为:

式中:Eelec为发送和接收单位信息的能耗;εamp为信号发送放大器向单位距离发送单位信息的能耗;k为传输的信息量;d为信息发送节点与接收节点间的距离;λ为路径损耗指数。
由上述公式可知,节点发送信息消耗的能量会因为距离的增加而大幅增加,而在LEACH的数据传输阶段,簇内各节点将数据传输给簇头之后簇头直接与基站通信,这虽然简便,但若簇头与基站距离过远,数据传输所消耗的能量将会很大,为解决这个问题,本文将在簇头节点与基站的通信中加入多跳的数据融合树。
具体实现方法是在分簇过程完成之后,簇头节点相互发送探测信息包,和基站形成反向组播树,该树的形成算法主要基于DDSP,在保证与基站路径最短的前提下,选择与已计算的目的簇头最近的路径,通过目的簇头之间共享尽可能长的路径来降低生成树的能量消耗。反向组播树形成之后,数据融合过程不仅能在簇头处理簇内节点传送来的数据时实现,也能在簇头之间通过反向组播树向基站发送数据时实现,让数据采集效率更高,同时避免了过远的簇头直接向基站发送数据时产生过高的能耗,此时网络的拓扑结构如图1所示。

2.3 数据融合策略
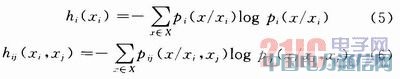
无线传感器网络的数据融合不仅仅是对数据进行简单的平均、求和等运算,根据具体需求,需要采取不同的融合措施,数据融合的顺序一般是从数据层到特征层再到决策层。本协议应用信息熵进行数据分类融合,节点感知的各种信息的数据关系可通过信息熵的计算分为补充数据、冗余数据以及冲突数据。补充数据指传感器节点感知的目标不同特征的信息;冗余数据指传感器节点感知的目标同一特征的信息;冲突数据指传感器节点感知的不同目标的信息或者是同一目标时空不相关的信息,或者是传感器故障而提供的矛盾信息。判定两个传感器节点提供的信息的数据关系方法如下:
假定节点1与节点2感知数据的分布特性符合pi(x/xi),其中i为传感器号1或2,x(x∈X)为感知的随机数,xi为节点i感知的数据值;节点i和节点j的联合分布为pij(x/xi,xj),由信息熵的定义,节点i和j感知数据的自熵hi(xi)与联合熵hij(xi,xj)的计算如下:

自熵表明了节点i感知数据xi的不确定性,而互熵则表明了节点i和j联合感知数据(xi,xj)的不确定性。比较hi(xi),hj(xj)与hij(xi,xj)三者的大小关系有以下三种情况:
(1)hi(xi)≤hij(xi,xj)≤hj(xj),说明两个传感器的联合感知数据既没减少xi的不确定性,也没增加xj的不确定性,两个节点的感知数据互不影响,因此两个数据是互补的;
(2)hij(xi,xj) (3)hi(xi)≤hj(xj)
3 仿真实验
本文采用Matlab建立仿真模型,分别对原LEACH算法与改进后的算法进行仿真分析并加以比较。
3.1 仿真模型与参数设置
本实验采用LEACH定义的物理模型,其定义如下:
(1)所有节点属性完全一样,能量有限并且均能与基站直接通信;
(2)基站位置固定,节点不知道其自身位置信息;
(3)无线通信采用对称的信道,消耗的能量与传输的方向无关,节点可根据与目标节点的距离来调节射频发射功率;
(4)簇头节点可执行数据融合。
实验采用的各参数定义如表1所示。

3.2 仿真结果及分析
算法的仿真采用了300个节点,随机分布在500×500的平面区域,而基站位置为(250,250)。节点分布示意如图2所示。

图2中“*”表示传感器节点,“☆”表示基站。建立上述模型后,LEACH协议的仿真结果如图3所示。

改进后的协议仿真结果如图4所示。

通过比较可以明显地得出,新协议比原LEACH协议具有很长的网络生存时间。为了更量化地比较两个协议的网络性能,下面继续对网络运行中第一个节点的死亡时间(First Node Dead,FND)以及一半节点的死亡时间(Half Nocles Dead,HND)进行比较,因为在分簇路由中,必须要一个以上的节点才能进行路由计算,所以在此不考虑全部节点的死亡时间。由于仿真实验的随机性,每个协议的FND与HND值是对两个协议进行多次运算后取的平均值。如图5所示。
由图5可知,对于FND,新协议比原LEACH协议延长了网络生存时间约85%,而对于HND,新协议则比原LEACH协议延长了约100%。综上所述,由于新算法的诸多改进,网络的整体性能比LEACH更为优秀。
4 结语
本文通过对LEACH在簇头选择机制以及数据融合方面不足之处的改进,提出了一种新的基于LEACH分簇路由协议的数据融合算法,改进主要体现在三个方面;在簇头选择算法上加入了能量控制机制,让剩余能量高的节点有更高几率当选为簇头;将簇头节点到基站的单跳路由改为加入了数据融合策略的反向组播树,节省了与基站过远的簇头消耗的能量,数据在不断往基站的传输中也有更多的机会融合;提出了基于信息熵的具体数据融合策略,让信息的传输更有效率。仿真结果表明,这些改进有效平衡了节点能量消耗,延长了网络生存时间。