摘要:针对现有高速公路管理系统无法对车辆进行实时管理的现状,提出一种对高速公路上车辆进行实时测速及定位的方法。该方法基于射频识别(RFID)技术,通过分析构建移动车辆的定位模型,利用谱估计方法对其多普勒频移进行测量,并针对模型求解中存在的非线性特性,采用牛顿迭代法计算车辆的实时速度及相对坐标以达到测量车速及确定车辆实时位置的目的。仿真实验结果表明,该方法具有运算量小、精度高、实施简单的特点。
1 概述
射频识别(Radio Frequency Identification, RFID)是一项非接触式自动识别技术,具有信息量大、抗干扰强、操作快捷等许多优点。特别是RFID 技术在高速运动物体识别、多目标识别和非接触识别等方面的优势,使其在很多领域都具有巨大的发展潜力和广泛的应用前景。

高速公路作为国家的重要战略资源,不仅提高运输效率,而且还能减少车辆损耗,其优越性十分突出。但在安全方面,我国的高速公路却表现出了较高的事故率和伤亡率。相关研究表明,通过合理控制机动车辆的车速及安全车距,可以有效保障高速公路的交通安全和畅通,预防和减少交通事故。
但我国高速公路管理系统中现有的一些交通检测技术,其主要作用是检测道路流量以及为超速罚款提供参考依据,而目前被推广的GPS 定位系统,无法对速度进行实时测量,且其定位精度有限,亦不能实时跟踪车辆。因此,我国在高速公路安全管理及监控这一领域还存在较大的空白。多普勒效应在近代科学中有着广泛的应用。它可用于测量飞机时速、观测人造卫星运行情况、确定星体运行速度、测量视网膜血管内血流速度等。最大多普勒频移还是无线通信中用于优化自适应接收机的重要参数,导频信道测量、切换判决和功率控制等自适应优化算法都依赖于对它的有效估计。
本文基于RFID 技术,通过对由车辆移动所产生的多普勒频移进行实时估计,提出一种高速公路车辆实时测速及定位方法。
2 算法模型
结合高速公路的实际情况,本模型采用无源、只读射频卡,由于本身不需要电源和电池,解决了高速公路无电源问题。同时,无源射频卡不需要维护,且使用寿命很长,节省了大量的人力资源。车载阅读器通过发射激活信号并从无源应答器中接收射频信息来确定当前位置。为取得较远的感应距离,车载阅读器应工作在UHF 频段内,其识别距离可以达到十几米,足以满足当前高速公路的设计要求。
2.1 射频卡识别码设置
将射频卡等距设置在高速公路的隔离带或左、右路肩处。每个无源射频卡应具有唯一的射频识别码,该射频识别码包括高速公路的识别号码、车道数目以及路带标识(即表明所处位置为左右路肩或隔离带),并依次设置顺序号码,以便能够表征其地理位置及相应顺序。此外,在ID 号码中还可以包含高速公路的相应标号、高速公路的车道数目等编码。具体设置如图1 所示。

图1 射频标识码设置
2.2 数学模型
由于定向天线通信距离远,覆盖范围小,目标密度大,频率利用率高且所受干扰小,因此将阅读器天线设定为定向天线,只能接收来自路肩或隔离带一侧的射频信号。图2 给出了阅读器接收来自路肩一侧射频卡信息的模型。车道及路肩之间用实线隔开,圆形代表车载阅读器,矩形代表在路肩等距铺设的射频卡。设一车载阅读器正沿着车道2 正向行驶。
某一时刻,接收到来自射频卡1,2,…,N 的信号。图中v 表示车辆行驶速度, 1 2 , , , N θ θ ??θ 为车辆相对射频卡1,2,…,N 的径向方向与车辆行驶方向的夹角,m 为两射频卡间的距离,m1,m2,…,mN 为射频卡1,2,…,N 同车辆行驶方向法线间的距离,d 为车辆到射频卡垂直距离,dr 为车道宽度,dl 为路肩宽度, 1 2 d , d , , dN f f ?? f 为车辆相对射频卡1,2,…,N 的多普勒频移。

图2 数学模型
根据几何关系,可以得到:

同时,在RFID 系统中,射频卡本身不发射电磁波,只对来自阅读器的电磁波进行反射。因此,根据接收信号相对于发射信号的多普勒频偏fd 关系,还可得到:

联立式(1)、式(2),可以得到2N 个方程,而未知数个数为2N+2 个。实际上,当2 个射频卡位于车辆行驶方向法线两侧时,其频偏值必然为一正一负,因此,当检测到2 个标识码相邻的射频卡p 和射频卡p+1、fdp 和fd(p+1)符号相反时,可知有:

此外,若设在阅读器接收到第N 个射频卡时开始执行定位算法,则可近似认为阅读器与射频卡N 之间的距离为最大通信距离R,有:

联立式(1)、式(2),则可求得车辆行驶速度以及与N 个射频卡的相对位置,进而实现对车辆当前位置的测定。在已知量中,m、R 是系统设定的,而N 个fd 值则需要进行实时估计。因此,对fd 估计的准确程度是实现精确定位的关键。
3 多普勒频移fd 的估计
近年来,已有多种fd 估计算法被提出,如在时域中利用电平通过率进行直接测量[3]、或采用时频分析方法[4]、或利用一些特殊性质如OFDM 导频信号来估计最大多普勒频移[5].
这些方法要么测量精度过低,要么运算量过大,均不适合在RFID 系统中应用。本文结合RFID 系统特点,采用功率谱估计的方法,在频域实现对fd 的估计。
由于在车辆移动过程中,车载阅读器与标签之间的相对位置是不断变化的,因此时域采样点数应尽量少,以保证fd值的相对稳定。现代谱估计方法在短数据记录的情况下,其性能远远优于经典谱估计方法。其中,Burg 算法不需要估计自相关函数,具有较高的谱估计质量且计算不太复杂,是较为通用的方法,亦适合在RFID 系统中使用。
对将接收信号进行下变频并等间隔时域采样,得到信号序列x(1), x(2),……, x(n) .采用Burg 算法进行谱估计,并利用反射系数公式中的递推关系减小运算量,同时使用信息论准则法判定AR 模型阶数P.
算法基本步骤为:
(1)设定初始条件。令第0 阶前向、后向预测误差序列为时域采样序列。
(2)设定阶数m=1,则得到反射系数k1 、模型参数a1(1)及最小预测误差功率ρ1 .
(3)由反射系数k 1 得到第一阶前、后向预测误差序列 e1 f (n),e1 b (n)。
(4)令m = m+1,采用递推分母DENm求出该阶反射系数km 及最小预测误差功率。
(5)采用信息论准则法判定阶数P.令AICm = N ln(ρm) +2m ,其中,N为数据x(n) 的长度。当阶次m由1增加时,AICm应在某一m 处达到最小值。因此, 若测得在m 阶有1 AICm
(6)计算m 阶前、后向预测误差序列 emf(n) 、emb(n) 及所有模型参数am (i), i = 1,2,……,m,返回(4)。
(7)当AICm ≥AIC m-1 时,说明m-1 即为AR 模型的正确阶次,至此,已求出所有阶次时的AR 参数,可对AR 模型的功率谱进行估计。
(8)得到功率谱后,找到其幅值最大值所对应的频率值,即为fd 值,算法结束。
算法流程如图3 所示。

图3 Burg 算法流程
4 算法求解
4.1 牛顿迭代法
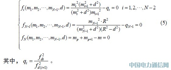
将式(1)~式(4)联立并化简,可得到如下方程:

将式(5)写成矩阵形式:

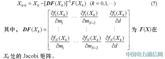
采用牛顿迭代法,设已得到第k 次近似解Xk,则可得:

式(7)即为式(6)的牛顿迭代公式,采用Gauss-Jordan 方法求解Jacobi 矩阵DF(Xk)的逆,则可求得X,确定车辆的实时位置。再将结果代入式(5),即可得到车辆速度v.
4.2 初值设定
由于牛顿迭代法是局部收敛的,因此选定的初值要接近方程的解,否则有可能得不到收敛的结果。因此,合理地选取初值,不仅能确保求解过程不发散,而且还能减少迭代次数,进而减少算法运算量。
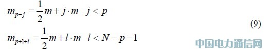
根据式(3)可知,相邻射频卡p、p+1 分别在车载阅读器行驶方向的法线两侧。因此,可设:

依次可设:

此外,由图2 还可知2dr + dl > d > dl .
5 仿真实验
仿真模型见图2,设路肩宽度dl=2 m,车道宽度dr=5 m,每2 个射频卡之间距离m=5 m,RFID 系统工作频率f=915 MHz,阅读器和射频卡的最大通信距离R=14 m,采样频率fs=1 600 Hz,采样点数N=128.考虑到高速公路环境较为空旷,忽略多径干扰的影响,但由于阅读器的接收信号十分微弱,因此干扰噪声对其影响较大,设置信噪比SNB=-5 dB。
针对不同多普勒频移随机实验500 次,其结果如表1 所示(限于篇幅,选取部分数据罗列)。可以看出,本文所采用的谱估计方法具有较高的估计精度,误差在0.8 Hz 以下,且随着fd 值不断增大,误差值呈减小的趋势。
分别设定v 为30 km/h、60 km/h、90 km/h、120 km/h、150 km/h,针对不同位置对车辆速度进行反复测量,其平均误差如表2 所示。当车辆接近静止时,由于不存在多普勒频移或多普勒频移十分微小,由系统设定v=0.随着车辆移动速度的提高,由于多普勒频移在夹角一定的情况下同速度呈正比,因此速度误差会随着fd 测量误差的减小略呈下降趋势。
图4 给出了400 次定位结果误差分布。可以看到,节点位置误差基本上在0.3 m 之内,平均误差为0.1 m 左右。
表1 fd 估计值及误差 Hz.

表2 速度平均估计值及误差


图4 定位结果误差分布
6 结束语
本文针对我国现有高速公路管理系统无法对车辆进行实时管理这一现状,提出一种对高速公路上车辆进行实时测速及定位的方法。该方法具有运算量小、精度高、实施简单的特点,可用于实现高速公路上对车辆的实时跟踪监控。本文仅是将RFID 技术应用于高速公路测速及定位方向的一个简单尝试。如何结合实际情况,构建功能完善的测速及定位系统,并在实际环境中加以应用将是进一步的研究方向。此外,该方法还可以推广到机场铁路、工业流水线及赛车跑道等多个领域,具有较为广阔的应用前景。