概观
从波音 747 客机的导航操作、汽车驾驶每天都会使用的 GPS 导航系统,到寻宝者要找到深藏于森林某处的宝藏,GPS 技术已经迅速融入于多种应用中。
正当创新技术不断提升 GPS 接收器效能的同时,相关的技术特性亦越来越完整。时至今日,软件甚至可建立 GPS 波形,以精确仿真实际的讯号。除此之外,仪器总线技术亦不断提升,目前即可透过 PXI 仪控功能,以记录并播放实时的 GPS 讯号。
介绍
由于 GPS 技术已于一般商用市场逐渐普及,因此多项设计均着眼于提升相关特性,如:
1)降低耗电量
2)可寻找微弱的卫星讯号
3)较快的撷取次数
4)更精确的定位功能
透过此应用说明,将可了解进行多项 GPS 接收器量测的方法:敏感度、噪声系数、定位精确度、首次定位时间,与位置误差。此篇技术文件是要能让工程师彻底了解 GPS 的量测技术。对刚开始接触 GPS 接收器量测作业的工程师来说,可对常见的量测作业略知一二。若工程师已具有 GPS 量测的相关经验,亦可透过此篇技术文件初步了解新的仪控技术。此篇应用说明将分为下列数个段落:
GPS 技术的基础 GPS 量测系统 常见量测概述
a.敏感度
b.首次定位时间 (TTFF)
c.定位精确度与重复性
d.追踪精确度与重复性
每个段落均将提供数项实作秘诀与技巧。更重要的是,读者可将自己的结果与 GPS 接收器获得的结果进行比较。透过自己的结果、接收器的结果,再搭配理论量测的结果,即可进一步检视自己的量测数据。
GPS 导航系统介绍
全球定位系统 (GPS) 为空间架构的无线电导航系统,本由美国空军所研发。虽然 GPS 原是开发做为军事定位系统之用,却也对民间产生重要影响。事实上,您目前就可能在车辆、船舶,甚至移动电话中使用 GPS 接收器。GPS 导航系统包含由 24 组卫星,均以 L1 与 L2 频带 (Band) 进行多重讯号的传输。透过 1.57542 GHz 的 L1 频带,各组卫星均产生 1.023 Mchips BPSK (二进制相位键移) 的展频讯号。展频序列则使用称为 C/A (coarse acquisition) 码的虚拟随机数 (PN) 序列。虽然展频序列为 1.023 Mchips,但实际的讯号数据传输率为 50 Hz [1]。在系统的原始布署作业中,一般 GPS 接收器可达 20 ~ 30 公尺以上的精确度误差。此种误差肇因于美国军方依安全理由所附加的随机频率误差所致。然而,此称为选择性可靠度 (Selective availability) 误差讯号源,已于 2000 年 5 月 2 日取消。在今天,接收器的最大误差不超过 5 公尺,而一般误差已降至 1 ~ 2 公尺。
不论是 L1 或 L2 (1.2276 GHz) 频带,GPS 卫星均会产生所谓的「P 码」附属讯号。此讯号为 10.23 Mbps BPSK 的调变讯号,亦使用 PN 序列做为展频码。军方即透过 P 码的传输,进行更精确的定位作业。在 L1 频带中,P 码是透过 C/A 码进行反相位 (Out of phase) 的 90 度传输,以确保可于相同载波上测得此 2 种讯号码 [2]。P 码于 L1 频带中可达 -163 dBW 的讯号功率;于 L2 频带中可达 -166 dBW。相对来说,若在地球表面的 C/A 码,则可于 L1 频带中达到最小 -160 dBW的广播功率。
GPS 导航讯号
针对 C/A 码来说,导航讯号是由数据的 25 个框架(Frame) 所构成,而每个框架则包含 1500 个位 [2]。此外,每组框架均可分为 5 组 300 个位的子框架。当接收器撷取 C/A 码时,将耗费 6 秒钟撷取 1 个子框架,亦即 1 个框架必须耗费 30 秒钟。请注意,其实某些较为深入的量测作业,才有可能真正花费 30 秒钟以撷取完整框架;我们将于稍后讨论之。事实上,30 秒钟仅为撷取完整框架的平均最短时间;系统的首次定位时间 (TTFF) 往往超过 30 秒钟。
为了进行定位作业,大多数的接收器均必须更新卫星星历 (Almanac) 与星历表 (Ephemeris) 的信息。该笔信息均包含于人造卫星所传输的讯号数据中,,而每个子框架亦包含专属的信息集。一般来说,我们可透过子框架的类别,进而辨识出其中所包含的信息 [2][7]:
Sub-frame 1:包含时序修正 (Clock correction)、精确度,与人造卫星的运作情形
Sub-frame 2-3:包含精确的轨道参数,可计算卫星的确实位置
Sub-frames 4-5:包含粗略的卫星轨道数据、时序修正,与运作信息。
而接收器必须透过卫星星历与星历表的信息,才能够进行定位作业。一旦得到各组卫星的确实距离,则高阶 GPS 接收器将透过简单的三角表达式 (Triangulation algorithm) 回传位置信息。事实上,若能整合虚拟距离 (Pseudorange) 与卫星位置的信息,将可让接收器精确识别其位置。
不论是使用 C/A 码或 P 码,接收器均可追踪最多 4 组人造卫星,进行 3D 定位。追踪人造卫星的过程极为复杂,不过简单来说,即是接收器将透过每组卫星的距离,估算出自己的位置。由于讯号是以光速 (c),或为 299,792,458 m/s 行进,因此接收器可透过下列等式计算出与人造卫星之间的距离,即称为「虚拟距离 (Pseudorange)」:

等式 1.「虚拟距离 (Psedorange)」为时间间隔 (Time interval) 的函式 [1][4]
接收器必须将卫星所传送的讯号数据进行译码,才能够获得定位信息。每个卫星均针对其位置进行广播 (Broadcasting),接收器跟着透过每组卫星之间的虚拟距离差异,以决定自己的确实位置 [8]。接收器所使用的三角量测法 (Triangulation),可由 3 组卫星进行 2D 定位;4 组卫星则可进行 3D 定位。
设定 GPS 量测系统
测试 GPS 接收器的主要产品,为 1 组可仿真 GPS 讯号的 RF 向量讯号产生器。在此应用说明中,读者将可了解应如何使用 NI PXI-5671 与 NI PXIe-5672 RF 向量讯号产生器,以达到量测目的。此产品并可搭配 NI GPS 工具组,以模拟 1 ~ 12 组 GPS 人造卫星。
完整的 GPS 量测系统亦应包含多种不同配件,以达最佳效能。举例来说,外接的固定式衰减器 (Attenuator),可提升功率精确度与噪声层 (Noise floor) 的效能。此外,根据接收器是否支持其直接输入埠的 DC 偏压 (Bias),某些接收器亦可能需要 DC 阻绝器 (Blocker)。下图即为 GPS 讯号产生的完整系统:

图 1. GPS 产生系统的程序图
如图 1 所示,当测试 GPS 接收器时,往往采用最高 60 dB 的外接 RF 衰减 (留白,Padding)。固定式衰减器至少可提供量测系统 2 项优点。首先,固定式衰减器可确保测试激发的噪声层低于 -174 dBm/Hz 的热噪声层 (Thermal noise floor)。其次,由于可透过高精确度 RF 功率计 (Power meter) 校准讯号准位,因此固定式衰减器亦可提升功率精确度。虽然仅需 20 dB 的衰减即可符合噪声层的要求,但若使用 60 ~ 70 dB 的衰减,则可达到更高的功率精确度与噪声层效能。稍后将接着讨论 RF 功率校准,而图 2 抢先说明衰减对噪声层效能所造成的影响。

图 2. 不同衰减所需的仪器功率比较
如图 2 所示,衰减可用于减弱噪声,而不仅限于 -174 dBm/Hz 的热噪声层。
RF 向量讯号产生器
当选择 RF 向量讯号产生器时,NI LabVIEW GPS 工具组可同时支持 NI PXI-5671 与 NI PXIe-5672 RF 向量讯号产生器。虽然此 2 款适配卡可产生 GPS 讯号,但由于 PCI Express 总线速度较快,并可立刻进行 IF 等化 (Equalization),因此 NI PXIe-5672 向量讯号产生器较受到青睐。此 2 款适配卡均具有 6 MB/s 总数据传输率与 1.5 MS/s (IQ) 取样率,可从磁盘串流 GPS 波形。
虽然 PXI控制器硬盘可轻松维持此数据传输率,NI 仍建议使用外接磁盘进行额外的储存容量。下图为包含 NI PXIe-5672 的常见 PXI 系统:

图 3. 包含 NI PXIe 5672 VSG 与 NI PXI-5661 VSA 的 PXI 系统
GPS 工具组可于完整导航讯号期间,建立最长 12.5 分钟 (25 个框架) 的波形。依 6 MB/s 的取样率,则最大档案约为 7.5 GB。由于上述的波形档案尺寸,所有的波形均可储存于多款硬盘选项之一。这些波形储存资源选项包含:
oPXI 控制器的硬盘 (推荐使用 120 GB 硬盘升级)
o如 HDD 8263 与 HDD 8264 的外接 RAID 装置
o外接 USB 2.0 硬盘 (已透过 Western Digital Passport 硬盘进行测试)
上述各种硬盘设定,均可支持超过 20 MB/s 的连续数据串流作业。因此,任何储存选项均可仿真 GPS 讯号,并进行记录与播放。在稍后的段落中,将说明仿真与记录 GPS 波形的整合作业,并进行 GPS 接收器效能的特性参数描述 (Characterization) 作业。
建立仿真的 GPS 讯号
由于 GPS 接收器是透过天线传输数据,并取得卫星星历与星历信息;当然,仿真的 GPS 讯号亦需要该项信息。卫星星历与星历信息,均透过文本文件表示,可提供卫星位置、卫星高度、机器状态,与绕行轨道的相关信息。此外,在建立波形的过程中M,亦必须选择客制参数,如星期时间 (TOW)、位置 (经度、纬度、高度),与仿真的接收器速率。以此信息为基础,工具组将自动选择最多 12 组人造卫星、计算所有的都卜勒位移 (Doppler shift) 与虚拟距离 (Pseudorange) 信息,并接着产生所需的基频波形。为了可尽快入门,工具组安装程序亦包含范例的卫星星历与星历档案。此外,更可由下列网站直接下载:
·Almanac information (The Navigation Center of Excellence) http://navcen.uscg.gov/gps/almanacs.htm
·Ephemeris information (NASA Goddard Space Flight Center) http://cddis.gsfc.nasa.gov/gnss_datasum.html#brdc
透过客制的卫星星历与星历档案,即可建立特定日期与时间的 GPS 讯号,甚至可回溯数年以前。请注意,当选择这些档案时,必须选择与日期相对应的档案。一般来说,卫星星历与星历信息为每日更新,因此当选择特定时间与日期时,亦应选择同 1 天的档案。下载的星历档案往往为压缩的「*.Z」格式。因此,在搭配使用 GPS 工具组之前,档案必须先行解压缩。
只要使用工具组中的「自动模式 (Automatic mode)」,即可囊括大多数的 GPS 模块作业,并可透过程序设计的方式,计算都卜勒与随机距离信息;当然,此功能亦提供手动模式。在手动模式 (Manual mode) 中,使用者可个别指定每组人造卫星的信息。图 4 即显示此 2 种作业模式所提供的输入参数。

1LLA (longitude, latitude, altitude)
图 4. GPS 工具组自动与手动模式的默认值
请注意,工具组将根据所指定的星历档案,于可能的数值范围中强制设定 GPS 的 TOW。因此,若选择的数值超出该星历档案的范围,工具组将自动设定为最接近的数值并提醒使用者。「niGPS Write Waveform To File」范例程序即可建立 GPS 基频波形 (自动模式),而其人机接口即如下图所示。

图 5. 简单的范例程序即可建立 GPS 测试波形。
请注意,某些特定量测作业,将决定用户所建立 GPS 测试的文件类型。举例来说,当量测接收器敏感度时,将仿真单一人造卫星。另一方面来说,需要定位作业的量测 (如 TTFF 与位置精确度),所使用的 GPS 讯号将仿真多组人造卫星。基于上述需求,NI GPS 工具组所搭配的范例程序,将同时包含单位星与多重卫星仿真功能。
记录空气中的 GPS 讯号
建立 GPS 波形时,其独特又日趋普遍的方式,即是直接从空气中撷取之。在此测试中,我们使用向量讯号分析器 (如 NI PXI 5661) 记录讯号,再透过向量讯号产生器 (如 NI PXIe-5672) 产生已记录的讯号。由于在记录 GPS 讯号时,亦可撷取实际的讯号减损 (Impairments),因此在播放讯号时,可进一步了解接收器于布署环境中的作业情形。
只要透过极为直接的方式,即可撷取空气中的 GPS 讯号。在 RF 记录系统中,我们将适合的天线与放大器,搭配使用 PXI 向量讯号分析器与硬盘,以撷取最多可达数个小时的连续数据。举例来说,1 组 2 TB 的 RAID 磁盘阵列,即可记录最多 25 个小时的 GPS 波形。由于此篇技术文件将不会讨论串流的特殊技术,因此若需要相关范例程序代码,请至:http://www.ni.com/streaming/rf。透过下列段落,即可了解应如何针对 RF 记录与播放系统,设定合适的 RF 前端。
不同类型的无线通信讯号,均需要不同的带宽、中央频率,与增益。以 GPS 讯号来说,基本系统需求是以 1.57542 GHz 的中央频率,记录 2.046 MHz 的 RF 带宽。依此带宽需求,至少必须达到 2.5 MS/s (1.25 x 2 MHz) 取样率。注意:此处的 1.25 乘数,是根据 PXI-5661 数字降转换器 (DDC) 于降频 (Decimation) 阶段的下降 (Roll-off) 滤波器所得出。
在下方说明的测试作业中,我们使用 5 MS/s (20 MB/s) 取样率以撷取完整的带宽。由于标准 PXI 控制器硬盘即可达到 20 MB/s 或更高的数据流量,因此不需使用外接的 RAID 亦可将 GPS 讯号串流至磁盘。然而,基于 2 个理由,我们仍建议使用外接硬盘。首先,外接硬盘可提升整体的数据储存量,并记录多组波形。其次,外接硬盘不会对 PXI 控制器的硬盘造成额外负担。在下方说明的测试作业中,我们采用 1 组 USB 2.0 的外接硬盘。此硬盘为 320 GB 的 Western Digital Passport,具有 5400 RPM 的硬盘转速。在我们的测试作业中,一般读取速度约落在 25 ~ 28 MB/s。因此该款硬盘可同时用于 GPS 波形数据串流的仿真 (6 MB/s) 与记录 (20 MB/s) 作业。
GPS 讯号记录作业最为特殊之处,即是选择并设定合适的天线与低噪声放大器 (LNA)。透过一般被动式平面天线 (Passive patch antenna),即可于 L1 GPS 频带中发现介于 -120 ~ -110 dBm 的常见峰值功率 (此处为 -116 dBm)。由于 GPS 讯号的功率强度极小,因此必须进行放大作业,以使向量讯号分析器可撷取卫星讯号的完整动态范围。虽然有多个方法可将合适的增益强度套用至讯号,不过我们发现:若使用主动式 GPS 天线搭配 NI PXI-5690 前置放大器 (Pre-amplifier) 时,即可达到最佳效果。若串联 2 组各可达 30 dB 增益的 LNA,则总增益则可达到 60 dB (30 + 30)。因此,向量讯号分析器可测得的峰值功率,将从 -116 dBm 提升至 -56 dBm。下图即为该项设定的范例系统:

图 6. GPS 接收器与串联的 LNA。
请注意,记录操作系统的必备组件之一,即为主动式 GPS 天线。主动式 (Active) GPS 天线,包含 1 组平面天线与 1 组 LNA。此款天线一般均需要 2.5V ~ 5V 的 DC 偏压电压,并仅需约 $20 美金即可购买现成产品。为了简单起见,我们使用 1 组天线搭配 1 组 SMA 接头。我们将于下列段落中看到,在 RF 前端的第一组 LNA 噪声图形极为重要;该图形将可确认进行记录作业的仪控,是否对无线讯号构成最低噪声。亦请注意,图 6 中的向量讯号分析器为简化图标。实际的 PXI-5661 为 3 阶段式超外差 (Super-heterodyne) 向量讯号分析器,较复杂于图中所示。
若将 60 dB 套用至无线讯号中,则可于 L1 中得到约 -60 ~ -50 dBm 的峰值功率。若以扫频 (Swept spectrum) 模式设定 VSA 并分析整体频谱,则亦将发现 L1 频带 (FM 与移动电话)之外的带中功率 (Power in band),其强度将高于 GPS 讯号。然而,带外 (Out-of-band) 讯号的峰值功率一般均不会超过 -20 dBm,且将透过 VSA 的多组带通 (Band pass) 滤波器之一进行滤波作业。若要检视记录装置的 RF 前端是否达到应有效率,最简单的方法之一即为开启 RFSA 示范面板的范例程序。透过此程序,即可于 L1 GPS 频带中呈现 RF 频谱。图 7 即为常见的频谱。请注意,此频谱截图是透过 GPS 中心频率于室外所得。主动式 GPS 天线与 PXI-5690 前置放大器,可达到 60 dB 的总增益。
中心频率:1.57542 GHz
展频 (Span):4 MHz
RBW:10 Hz
平均:RMS、20 Averages

图 7. 仅透过极小的分辨率带宽 (RBW),才可于频谱中呈现 GPS
此处使用前面所提到的 RF 记录与播放 LabVIEW 范例程序;设定 -50 dBm 的参考准位、1.57542 GHz 中央频率,与 5 MS/s 的 IQ 取样率。下图即显示设置范例的人机接口:

图 8. RF 记录与播放范例的人机接口。
GPS 讯号的最长记录时间,将根据取样率与最大储存容量而定。若使用 2 TB 容量的 Raid 磁盘阵列 (Windows XP 所支持的最大磁盘),将可透过 5 MS/s 取样率记录最多 25 个小时的讯号。
设定 RF 前端
由于串联的 LNA 可提供 60 dB 的增益,因此使用者可大幅提升向量讯号分析器前端的功率。在我们的量测作业中,60 dB 的增益即足以将峰值功率从 -116 dBm 提升至 -56 dBm。而透过 60 dB 的增益 (与 1.5 dB 的噪声系数),讯号的噪声功率将为 –112 dBm/Hz (-174 + 增益 + F)。因此,所能撷取到的讯噪比 (SNR) 最高可达 56.5 dB (-56 dBm +112.5 dBm),亦低于实际的仪器动态范围。由此可知,若有 80 dB 的动态范围,则 VSA 将可记录最大的 SNR,且不会有无线讯号的噪声影响。
当要记录任何无线讯号时,可将参考准位设定高出一般峰值功率至少 5 dB,以因应任何讯号强度的异常现象。在某些情况下,虽然上述此步骤将降低 VSA 的有效动态范围,但 GPS 讯号却不会受到影响。由于 GPS 讯号于天线输入的最大理想 SNR 即为 58 dB (-116 + 174),因此若于 VSA 记录超过 58 dB 的动态范围将无任何意义。因此,我们甚至可以「抛弃」仪器的动态范围达 10 dB 以上,亦不会影响记录讯号的质量 (在此带宽中,PXI-5661 将提供优于 75 dB 的动态范围)。
由于必须设定合适的参考准位,适当设定记录装置的 RF 前端亦显得同样重要。如先前所提,若要获得最佳的 RF 记录数据,则建议使用主动式 GPS 天线。由于主动式天线内建 LNA,以低噪声系数提供最高 30 dB 的增益,因此亦可供应 DC 偏压。下方将接着说明多种偏压方式。
方法 1:以 GPS 接收器进行供电的主动式天线
第一个方法,是以 DC 偏压「T」供电至主动式天线。在此范例中,我们将 DC 讯号 (此为 3.3 V) 套用至偏压「T」的DC 埠,且「T」又将合适的 DC 偏移套用至主动式天线。请注意,此处将根据主动式天线的 DC 功率需求,进而决定是否套用精确的 DC 电压。下图即说明相关连结情形。

图 9. 使用 DC 偏压「T」供电至主动式 GPS 天线
在图 9 中可发现,PXI-4110 可程序化 DC 电源供应器,即可供应 DC 偏压讯号。虽然多款现成的电源供应器 (其中亦包含价位较低的电源供应器) 均可用于此应用中,我们还是使用 PXI-4110 以简化作业。同样的,现有常见的偏压器 (Bias tee) 可进行最高 1.58 GHz 的作业,而此处所使用的偏压器购自于 www.minicircuits.com。
方法 2:以接收器供电至主动式天线
供电至主动式 GPS 天线的第二个方法,即是透过天线本身的接收器。大多数的现成 GPS 接收器,均使用单一端口供电至主动式 GPS 天线,且此端口亦透过合适的 DC 讯号达到偏压。若将主动式 GPS 接收器整合分裂器 (Splitter) 与 DC 阻绝器 (Blocker),即可供电至主动式 LNA,并仅记录 GPS 接收器所获得的讯号。下图即为正确的连结方式:

图 10. 透过 DC 阻绝器 (Blocker),将可记录并分析 GPS 讯号
如图 10 所示,GPS 接收器的 DC 偏压即用以供电至 LNA。请注意,由于当进行记录时,即可观察接收器的相关特性,如速度与精确度衰减 (Dilution) 情形,因此方法 2 特别适用于驱动程序测试。
串联式 (Noise figure) 噪声系数计算
若要计算已记录 GPS 讯号的总噪声量,只要找出整体 RF 前端的噪声系数即可。就一般情况来说,整组系统的噪声系数,往往受到系统的第一组放大器所影响。在所有 RF 组件或系统中,噪声系数均可视为 SNRin与 SNRout(参阅:量测技术的噪声系数) 的比例。当记录 GPS 讯号时,必须先找出整体 RF 前端的噪声系数。
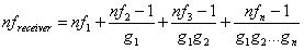
当执行串联式噪声系数计算时,必须先行针对每笔噪声系数与增益,将之转换为线性等式;即所谓的「噪声因子 (Noise factor)」。当以串联的 RF 组件计算系统的噪声系数时,即可先找出系统的噪声因子,并接着转换为噪声系数。因此系统的噪声系数必须使用下列等式计算之:

等式 2. 串联式 RF 放大器的噪声系数计算作业 [3]
请注意,由于噪声因子 (nf) 与增益 (g) 属于线性关系而非对数 (Logarithmic) 关系,因此以小写表示之。下列即为增益与噪声系数,从线性转换为对数 (反之亦然) 的等式:




等式 3 到等式 6. 增益与噪声系数的线性/对数转换 [3]
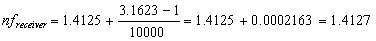
内建低噪声放大器 (LNA) 的主动式 GPS 天线,一般均提供 30 dB 的增益,且其噪声系数约为 1.5 dB。在仪控记录作业的第二阶段,则由 NI PXI-5690 提供 30 dB 的附加增益。由于其噪声系数较高 (5 dB),因此第二组放大器仅将产生极小的噪声至系统中。在教学实作中,可针对记录仪控作业的完整 RF 前端,使用等式 2 计算其噪声因子。增益与噪声系数值即如下图所示:

图 11. RF 前端的首 2 组组件噪声系数与因子。
根据上列计算,即可找出接收器的整体噪声因子:

等式 7. RF 记录系统的串联噪声系数
若要将噪声因子转换为噪声系数 (单位为 dB),则可套用等式 3 以获得下列结果:

等式 8. 第一组 LNA 的噪声系数将影响接收器的噪声系数
如等式 8 所示,第一组 LNA (1.5 dB) 的噪声系数,将影响整组量测系统的噪声系数。透过 VSA 的相关设定,可让仪器的噪声水平 (Noise floor) 低于输入激发的噪声水平,因此用户所进行的记录作业,将仅对无线讯号造成 1.507 dB 的噪声。
对 GPS 接收器发出讯号
由于多款接收器可使用合适的软件,让用户呈现如经度与纬度的信息,因此需要更标准化的方式进行自动量测作业。还好,目前有多款接收器均可透过众所周知的 NMEA-183 协议,以设定对 PXI 控制器发出讯号。如此一来,接收器将可透过序列或 USB 连接线,连续传送相关指令。在 NI LabVIEW 中,所有的指令均可转换语法,以回传卫星与定位信息。NMEA-183 协议可支持 6 种基本指令,并各自代表专属的信息。这些指令即如下表所示:

图 12. 基本 NMEA-183 指令概述
以实际测试需要而言,GGA、GSA,与 GSV 指令应最为实用。更值得一提的是,GSA 指令的信息可用于了解接收器是否可达到定位作业需要,或可用于首次定位时间 (Time To First Fix,TTFF) 量测。当执行高敏感性的量测时,实际可针对所追踪的卫星,使用 GSV 指令回传 C/N (Carrier-to-noise) 比。
虽然无法于此详细说明 MNEA-183 协议,但可至其他网站寻找所有的指令信息,如:http://www.gpsinformation.org/dale/nmea.htm#RMC.在 LabVIEW 中,这些指令可透过 NI-VISA 驱动程序转换其语法。

图 13. 使用 NMEA-183 协议的 LabVIEW 范例
GPS 量测技术
目前有多种量测作业可为 GPS 接收器的效能进行特性描述 (Characterization),其中亦有数种常见量测可套用至所有的 GPS 接收器中。此章节将说明执行量测的理论与实作,如:敏感度、首次定位时间 (TTFF)、定位精确度/可重复性,与定位追踪不定性 (Uncertainty)。应注意的是,还有许多不同的方式可检验定位精确度,并执行接收器追踪功能的测试。虽然接着将说明多种基本方式,但仍无法概括所有。
敏感度 (Sensitivity) 量测作业介绍
敏感度为 GPS 接收器功能的最重要量测作业之一。事实上,对多款已量产的 GPS 接收器来说,仅限为最后生产测试所执行的 RF 量测而已。若深入来说,敏感度量测即为「接收器可追踪并接收上方卫星定位信息的最低卫星功率强度」。一般人均认为,GPS 接收器必须串联多组 LNA 以达极高的增益,才能将讯号放大到合适的功率强度。事实上,虽然 LNA 可提升讯号功率,亦可能降低 SNR。因此,当 GPS 讯号的 RF 功率强度降低时,SNR 也将跟着降低,最后让接收器无法追踪卫星。
多款 GPS 接收器可指定 2 组敏感值:撷取敏感度 (Acquisition sensitivity) 与讯号追踪敏感度(Signal tracking sensitivity) [9]。如字面上的意思,撷取敏感度为「接收器可进行定位的最低功率强度」。相反而言,讯号追踪敏感度为「接收器可追踪各个卫星的最低功率强度」。
以基本概念而言,我们可将敏感度定义为「无线接收器产生所需最低位错误率 (BER) 的最低功率强度」。由于 BER 与载波噪声 (Carrier-to-noise,C/N) 比息息相关,因此敏感度一般均是透过已知的接收器输入功率强度,得出所需的 C/N 值而定。
请注意,各组卫星的 C/N 值,均可直接透过 GPS 接收器的芯片组而得。目前有多种方式可计算出此项数值,而某几款接收器却是计算发讯日期 (Message date) 而得出约略值。当透过高功率测试激发进行模拟时,新款 GPS 接收器一般均可得到 54 ~ 56 dB-Hz 的 C/N 峰值。由于即便是万里无云的晴空,GPS 接收器亦可能得出 30 ~ 50 dB-Hz 的 C/N 值;因此该 C/N 限值尚属于正常范围之内。一般 GPS 接收器均必须达到最小 C/N 比值,才能符合 28 ~ 32 dB-Hz 的定位 (撷取敏感度) 范围。因此,某些特殊接收器的敏感度可定义为「接收器产生最低定位 C/N 比值所需的最低功率强度」。
理论上来说,单一卫星或多组卫星测试激发均可量测敏感度。而实务上来看,由于已可轻松且稳定发出所需的 RF 功率,因此往往是以单一卫星模式进行量测作业。依定义而言,敏感度为接收器回传最小 C/N 比值的最低功率强度。在接下来的讨论中,则可发现接收器的敏感度甚为依赖 RF 前端的噪声指数 (Noise figure。就数学表达式来看,我们可根据下列等式发现敏感度与接收器噪声指数之间的关联性:

等式 9. 敏感度为 C/N 与噪声指数所构成的函式。
在等式 9 中,敏感度可表达为 C/N 比值与噪声指数的函式。举例来说,定位追踪所需的最低 C/N 为 32 dB-Hz,则噪声指数为 2 dB 的接收器将具有 -140 dBm (-174 + 32 + 2) 的敏感度。然而,当单独测试基频 (Baseband) 收发器时,往往忽略了第一组 LNA。一般接收器为下图所示:

图 14. GPS 接收器往往串联多组 LNA [6]
如图 14 所示,一般 GPS 接收器均是串联了多组 LNA,为 GPS 讯号提供高效率的增益。如先前所说,第一组 LNA 将决定整组系统的噪声指数。图 14 中,我们先假设 LNA1具有 30 dB 的增益与 1.5 dB 的 NF。此外,我们假设整个 RF 前端具有 40 dB 的增益与 5 dB 的 NF。接着请注意,由于 LNA2之后的噪声功率将超过 -174 dBm/Hz 的热噪声 (Thermal noise),因此带通 (Bandpass) 滤波器将同时减弱讯号与噪声。如此将几乎不会对 SNR 造成任何影响。最后,我们假设 GPS 芯片组可产生 40 dB 的增益与 5 dB 的噪声指数。即可计算出整组系统的噪声指数为:

图 15. 线性与对数模式的增益与 NF
根据上列计算,即可找出接收器的整体噪声因子:


等式 10 与 11. 第一组 LNA 的噪声系数将影响接收器的噪声系数
透过等式 10 与 11 来看,若 GPS 接收器连接已启动的天线,则其噪声指数约可达 1.5 dB。请注意,我们已经先忽略了相关噪声指数等式中的第三项条件。由于此数值极小,基本上可将之忽略。
在某些案例中,GPS 接收器的作业天线会搭配使用内建 LNA。因此测试点将忽略接收器的第一组 LNA。如此一来将透过第二组 LNA 得出噪声指数,且其往往又大于第一组 LNA 的噪声指数。若将 LNA1移除,则可透过下列等式得出 LNA2的噪声指数。


等式 12 与 13. 移除第一组 LNA 所得到的接收器噪声指数
如等式 12 与 13 所示,若将具备最佳噪声指数的 LNA 移除,则将大幅影响整组接收器的噪声指数。请注意,虽然此「常见」GPS 接收器噪声指数的计算范例纯为理论叙述,但仍具有其重要性。由于接收器所呈现的 C/N 比值,实在与系统的噪声系数密不可分,因此系统的噪声系数可协助我们设定合适的 C/N 测试限制。
单一卫星敏感度量测
在了解敏感度量测的基本理论之后,接着将进行实际量测的各个程序。一般测试系统均是透过直接联机,将模拟的 L1 单一卫星载波送入至 DUT 的 RF 通讯端口中。为了获得 C/N 比值,我们将接收器设定透过 NMEA-183 协议进行通讯。在 LabVIEW 中,则仅需串联 3 笔 GSV 指令,即可读取最大的卫星 C/N 值。
根据 GPS 规格说明,单一 L1 卫星若位于地球表面,则其功率应不低于 -130 dBm [7]。然而,消费者对室内与户外的 GPS 接收器使用需求,已进一步压低了测试限制。事实上,多款 GPS 接收器可达最低 -142 dBm 定位追踪敏感度,与最低 -160 dBm 讯号追踪。在一般作业点 (Operating point) 时,大多数的 GPS 接收器均可迅速持续锁定低于 6dB 的讯号,因此我们的测试激发则使用 -136dBm 的平均 RF 功率强度。
若要达到最佳的功率精确度与噪声水平 (Noise floor) 效能,则建议针对 RF 向量讯号产生器的输出,使用外接衰减。在大多数的案例中,40 dB ~ 60 dB 的外接衰减,可让我们更接近线性范围 (功率 ≥ -80 dBm),妥善操作产生器。由于各组接收器的定位衰减 (Fix attenuation) 均不甚固定,因此必须先行校准系统,以决定测试激发的正确功率。
在校准程序中,我们可考虑:1) 讯号的峰值平均比 (Peak-to-average ratio)、衰减器各个部分的差异,还有任何接线作业可能的插入损耗 (Insertion loss)。为了校准系统,应先从 DUT 切断联机,再将该联机接至 RF 向量讯号分析器 (如 PXI-5661)。
Part A:单一卫星校准
当执行敏感度量测时,RF 功率强度的精确性,实为讯号产生器最重要的特性之一。由于接收器可获得 0 数字精确度的 C/N 值 (如 34 dB-Hz),因此生产测试中的敏感度量测可达 ± 0.5 dB 的功率精确度。因此,必须确保我们的仪控功能至少要达到相等或以上的效能。由于一般 RF 仪控作业是专为大范围功率强度、频率范围,与温度条件所设计,因此在执行基本系统校准时,量测的可重复性 (Repeatability) 应远高于特定仪器效能。下列章节将进一步说明可确保 RF 功率精确度的 2 种方法。
方法 1:单一被动式 RF 衰减器:
虽然使用外接衰减,是为了确保 GPS 讯号产生作业可达最佳噪声密度,但实际仅需 20 dB 的衰减,即可确保噪声密度低于 -174 dBm/Hz。当使用 20 dB 的固定板 (Pad) 时,仅需将仪器设定为超过 20 dB 的 RF 功率强度即可。为了达到 -136 dBm 的目标,仪器应程序设计为 -115 dBm (假设 1 dB 的连接线插入损耗),且将 20 dB 衰减器直接连至产生器的输出。则所达到的 RF 功率将为 -136 dBm,但仍具有额外的不确定性。假设 20 dB 的固定板具有 ± 0.25 dB 的不确定性,且 RF 产生器亦于 -116 dBm 具有 ± 1.0 dB 的不确定性,则整体的不确定性将为 ± 1.25 dB。因此,虽然方法 1 最为简单且不需进行校准,但由于系统中的多项组件均未经过校准,因此可能接着发生不确定性。请注意,造成仪器不确定性最主要的原因之一,即为电压驻波比 (Voltage standing wave ratio,VSWR)。因为被动式衰减器是直接连至仪器的输出,所以反射回仪器的驻波即为实际衰减。由于降低了功率的不确定性,因此可提升整体功率的精确性。
请注意,此处亦使用高效能 VNA 确实量测被动衰减器。透过此量测装置,即可于 ± 0.1 dB 的不确定性之内,决定所要套用的衰减。
方法 2:经过校准的多组被动衰减器
校准 RF 功率的第二种方法,即是使用高精确度的 RF 功率计 (高于 ± 0.2 dB 的精确度,并最低可达 -70 dBm) 搭配多款固定式衰减器。因为我们是以固定频率,与相对较小的功率范围操作 RF 产生器,所以可有效修正由产生器造成的任何错误。此外,由于被动衰减器是以固定频率进行线性动作,因此亦可校准其不确定性。在方法 2 中,主要即必须确保产生系统可达到最佳效能,且将不确定性降至最低。此高精确度功率计可达优于 80 dB 的动态范围 (往往为双头式仪器),进而确保最低的量测不确定性。
透过高精确度的功率计,即可使用 3 种量测作业进行系统校准:1 种用于向量讯号产生器的 RF 功率,另外 2 种量测作业可校准衰减器。为了达到最佳的不确定性,则应设定系统所需的最少量测次数。若要达到 -136 dBm 的 RF 功率强度,则可将 RF 仪器程序设计为 -65 dBm 的功率强度,并使用 70 dB 固定衰减 (假设 1 dB 插入损耗)。为了确实进行 RF 功率强度的程序设计作业,则可透过固定的 Padding 校准实际衰减。校准程序如下:
1) 将 VSG 程序设计为+15 dBm 功率强度
可开启 Measurement and Automation Explorer (MAX) 并使用测试面板。透过测试面板以 +15 dBm 产生 1.58 GHz 连续波 (CW) 讯号。
2) 以高精确度的功率计量测 RF 功率
使用 RF 功率计,让功率达到仪器功率精确度规格的 +14.78 dBm (或近似值) 之内。
3) 附加 70 dB 固定式衰减器(30 dB + 20 dB + 20 dB) 与任何必要的连接线
4) 以高精确度的功率计量测 RF 功率
将功率计设定为最大平均值 (512),以量测 RF 功率强度。此处的读数为 -56.63 dBm。
5) 计算 RF 总耗损
若以 +14.78 dBm 减去 -56.63 dBm,即可在整合了衰减器与连接线之后,确保产生 71.41 dB 的功率耗损。请注意,多款衰减器往往具备最高 ± 1.0 dB 的不确定性。因此量测所得的衰减可能最高达 ± 3.0 dB 的变化。所以校准衰减器更显重要,确保已知衰减可达较低的不确定性。
根据衰减器与连接线的校准例程,即可确定所需的 RF 功率强度必须达到 -136 dBM。基于前述的 71.41 dB 衰减,必须将 RF 向量讯号产生器设定为 -58.59 dBm 的功率强度。若要确认程序设计过后的功率无误,则可依下列步骤进行:
6) 直接将功率计附加至 RF 向量讯号产生器
并移除所有的衰减器与连接线。
7) 将 RF 产生器设定必要数值,使其最后功率达到-136 dBm。
而程序设计的数值应为 -58.59 dBm,即由 -136 dBm + 71.41 dB 而得。
8) 以功率计量测最后功率。
请注意,所测得的 RF 功率,将因仪器的功率精确度而有所不同。即使测得 -58.59,则实际结果亦将因仪器的不确定性而产生些许变化。
9) 调整产生器功率直到功率计读出-58.59 dBm
虽然 RF 产生器可于一定的容错范围内进行作业,但此数值不仅具有可重复性,亦可调整 RF 功率计进行校准,直到得出合适的数值为止。
透过上述方法,仅需 3 项 RF 功率量测作业,即可决定所需的 RF 功率。因此,假设量测装置具有 ± 0.2 dB 的不确定性,则可得出 – 136 dBm 的功率不确定性将为 ± 0.6 dBm (3 x 0.2)。
Part B:敏感度量测
现在校准 RF 量测系统的功率之后,接着仅需进行 RF 产生器的程序设计,将功率强度设定足以让接收器回传最小的 C/N。虽然用于量测敏感度的 RF 功率将因接收器而有所不同,但是接收器 C/N 与 RF 功率的比值,将呈现完美的线性关系。在我们的测试中,可假设所需的 C/N 为 28 dB-Hz 以进行定位。透过等式 12,即可得出接收器 C/N 比值与噪声指数之间的关系。

等式 14. C/N 做为噪声指数与卫星功率的函式
假设卫星功率稳定,则可发现由接收器回报的 C/N 比,几乎就等于接收器的噪声指数函式。下表显示可达到的多样 C/N 比值。

图 16. C/N 为噪声指数的函式
一般来说,接收器上的 GPS 译码芯片组,将得出定位作业所需的最小 C/N 比值。然而,又必须透过整组接收器的噪声指数,才能决定目前功率强度所能达到的 C/N 比值。因此,当量测敏感度时,必须先了解定位作业所需的最小 C/N 比值。
其实有多种方法可量测敏感度。如上表所示,RF 功率与敏感度具有直接相关性。因此,可根据现有的敏感度功率强度,量测接收器的 C/N 比值;亦可根据不同的 RF 功率强度,得出系统敏感度。
为了说明这点,则可注意 RF 讯号功率与 GPS 接收器 C/N 比值,在不同功率强度之下的关系。下方量测作业所套用的激发,即忽略了第一组 LNA 而进行,且接收器的整体噪声指数约为 8 dB。而图 17 显示相关结果。

图 17. 接收器的 C/N 比值为 RF 功率的函式
如图 17 所示,此量测范例的 RF 功率与 C/N 比值,几乎是呈现完整的线性关系。而若使用高输入功率模拟 C/N 比值,将产生例外情况;接收器报表将出现可能的最大 C/N 值。然而,因为在任何条件下,进行实验的芯片组均不会产生超过 54 dB-Hz 的 C/N 值,所以这些结果均属预期范围之中。
根据图 7 中所示 RF 功率与敏感度之间的线性关系,其实仅需针对接收器模拟不同的功率强度,即可进行 GPS 接收器的生产测试作业。若接收器在 -142 dBm 得出 28 dB-Hz 的 C/N 值,则亦可于 -136 dBm 得到 34 dB-Hz 的 C/N 值。若特别注重量测速度,则可使用较高的 C/N 值,再从结果中推断出敏感度的信息。
找出噪声指数
又根据等式 13 与 14,搭配相关载噪比 (Carrier-to-noise ratio),则可得出接收器或芯片组的噪声指数。亦如下方等式 15 所示。

等式 15. 接收器噪声指数为功率与 C/N 比值所构成的函式。
而由图 17 所示,接收器的噪声指数将直接与 RF 功率强度与载噪比互成比例。根据此关系,我们仅需针对 RF 功率强度与 C/N 进行关联性,即可量测芯片组的噪声指数。而此项量测中请注意,应以 0.1 dB 为单位增加产生器的功率。由于 NMEA-183 协议所得到的卫星 C/N 值,是以最接近的小数字为准,因此在量测接收器 C/N 比值时,应估算噪声指数达 1 位数的精确度。范例结果如图 18 所示。

图 18. DUT 功率与接收器 C/N 的关联。
如图 18 所示,若 RF 功率强度处于 -136.6 dBm ~ -135.7 dBm 之间,则其 C/N 比值将维持于 30 dB-Hz。若以舍入法计算 NMEA-183 的数据时,则几乎可确定 -136.1 dBm 功率强度将产生 30.0 dB-Hz 的 C/N 比值无误。透过等式 14,芯片组的噪声指数则为 -174.0 dBm + -136.1 dBm + 30.0 dB-Hz = 7.9 dB。请注意,此计算是根据 2 组不确定性系数而进行:向量讯号产生器的功率不确定性,还有接收器所产生的 C/N 不确定性。
多组卫星的 GPS 接收器量测
敏感度量测需要单一卫星激发,而有多项接收器量测需要可仿真多组卫星的单一测试激发。更进一步来说,如首次定位时间 (TTFF)、定位精确度,与精确度降低 (Dilution of precision) 的量测作业,均需要接收器进行定位。由于接收器需要至少 4 组卫星进行 3D 定位作业,因此这些量测将较敏感度量测来得耗时。也因此,多项定位量测作业均于检验与校准作业中进行,而非生产测试时才执行。
此章节将说明可为接收器提供多组卫星讯号的方法。在讨论 GPS 仿真作业时,亦将让使用者了解 TTFF 与定位精确度量测的执行方法。若是讨论 RF 记录与播放作业,将一并说明应如何在多项环境条件下,校准接收器的效能。
量测首次定位时间 (TTFF) 与定位精确度
首次定位时间 (TTFF) 与定位精确度量测,为设计 GPS 接收器的首要检验作业。若您已将多种消费性的 GPS 应用了然于胸,即应知道接收器回传其实际位置所需的时间,将大幅影响接收器的用途。此外,接收器回报其位置的精确度亦甚为重要。
为了让接收器可进行定位,则应透过导航讯息 (Navigation message) 下载星历与年历信息。由于接收器下载完整 GPS 框架必须耗费 30 秒,因此「冷启动 (Cold start)」的 TTFF 状态则需要 30 ~ 60 秒。事实上,多款接收器可指定数种 TTFF 状态。最常见的为:
冷启动 (Cold Start):接收器必须下载年历与星历信息,才能进行定位。由于必须从各组卫星下载至少 1 组 GPS 框架 (Frame),因此大多数的接收器在冷启动状态下,将于 30 ~ 60 秒时进行定位。
热启动 (Warm Start):接收器的年历信息尚未超过 1 个星期,且不需要其他星历信息。一般来说,此接收器可于 20 秒内得知目前时间,并可进行 100 公里内的定位 [2]。大多数热启动状态的 GPS 接收器,可于 60 秒内进行定位,有时甚至仅需更短的时间。
热开机 (Hot Start):接收器具备最新的年历与星历信息时,即为热开机状态。接收器仅需取得各组卫星的时序信息,即可开始回传定位位置。大多数热开机状态的 GPS 接收器,仅需 0.5 ~ 20 秒即可开始定位作业。
在大部分的情况下,TTFF 与定位精确度均与特定功率强度相关。值得注意的是,若能于多种情况下检验此 2 种规格的精确度,其实极具有其信息价值。因为 GPS 卫星每 12 个小时即绕行地球 1 圈,所以可用范围内的卫星讯号随时都在变化,也让接收器可在不同的状态下回传正确结果。
下列章节将说明应如何使用 2 笔数据源,以执行 TTFF 与定位精确度的量测,包含:
1)接收器在其布署环境中,透过天线所获得的实时数据
2)透过空中传递所记录的 RF 讯号,并将之用以测试接收器所记录的数据
3)当记录实时数据后,RF 产生器用于模拟星期时间 (Time-of-week,TOW) 所得的仿真数据用此 3 笔不同的数据源测试接收器,可让各个数据源的量测作业均具备可重复特性,且均相互具备相关性。
量测设定
若要获得最佳结果,则所选择的记录位置,应让卫星不致受到周遭建筑物的阻碍。我们选择 6 层楼停车场的顶楼进行测试,以无建物覆盖的屋顶尽可能接触多组卫星讯号。透过 GPS 芯片组的多个开机模式,均可执行 TTFF 量测作业。以 SIRFstarIII 芯片组为例,即可重设接收器的出厂、冷启动、热启动,与热开机模式。下方所示即为接收器执行相关测试的结果。
若要量测水平定位的精确度,则必须根据经、纬度信息进而了解相关错误。由于这些指数均以「度」表示,因此可透过下列等式转换之:

等式 16. 计算 GPS 的定位错误
请注意该等式中的 111,325 公尺 (111.325 公里),即等于地球圆周的 1 度 (共 360 度)。此指数是根据地球圆周 360 x 111.325 km = 40.077 km 而来。
Off-The-Air GPS
以「Off-the-air」方式量测接收器的 TTFF 时,即是将接收器直接连至天线达到最不精确的方式。由于此量测作业可针对已记录与仿真的 GPS 讯号,进而校准自动化量测作业,因此亦具有一定的重要性。除此之外,亦可针对 SIRFstar III 芯片组进行程序设计,让接收器进入冷启动模式,且以接收器所得到的 TTFF 值进行所有量测作业。请注意,GPS 接收器一般指定为 32.6 秒的冷启动 TTFF 时间。在我们的量测作业中,则得到下列结果:

图 19.「Off-the-air」GPS 讯号的 TTFF 与最大 C/N 比值
根据初始的 「Off-the-air」结果,则可发现 GPS 接收器在标准的 3 秒误差内,可达到 33.2 秒的 TTFF。这些量测结果均位于 TTFF 规格的容错范围内。而更重要的,即是可透过仿真与记录的 GPS 数据,进而比较量测结果与实际结果。
根据上列线性误差等式,即可计算各次量测的线性标准误差。

图 20. 由「Off-the-air」GPS 讯号所得的 LLA
请注意,若要将「Off-the-air」GPS 讯号、仿真讯号,与播放讯号进行相关,则必须先进行「Off-the-air」讯号功率的相关性。当进行 TTFF 与定位精确度量测时,RF 功率强度基本上不太会影响到结果。因此,必须比对「Off-the-air」、仿真,与记录 GPS 讯号的 C/N 比值,即可进行 RF 功率的相关性作业。
已记录的 GPS 讯号
虽然可透过实时讯号量测 TTFF 与定位误差,但是这些量测作业往往不可重复;如同卫星均持续环绕地球运行,而非固定不动。进行可重复 TTFF 与定位精确度的量测方式之一,即是使用已记录的 GPS 讯号。此章节将接着说明应如何透过已记录的 GPS 讯号,以进行实时 GPS 讯号的相关作业。
已记录的 GPS 讯号,可透过 RF 向量讯号产生器再次产生。由于必须播放讯号,则校准 RF 功率强度最简单的方法,即是比对实时与记录的 C/N 值。当获得「Off-the-air」讯号时,则可发现所有实时讯号的 C/N 峰值均约为 47 ~ 49 dB-Hz 之间。
而播放讯号的功率强度,亦可达到与实时讯号相同的 C/N 值,进而确定其所得的 TTFF 与位置精确度,将可与实时讯号产生相关。在下图 21 中,我们使用的星期时间 (TOW) 值与实时「Off-the-air」讯号的 TOW 相近,而在 4 次不同的实验下得到 TTFF 结果。

图 21. 由「Off-the-air」GPS 讯号所得的 TTFF
除了量测首次定位时间之外,亦可量测 GPS 接收器所取得的经度、纬度,与高度信息。下图显示相关结果。

图 22. 由「Off-the-air」GPS 讯号所得的 LLA
从图 21 与 22 中可注意到,其实透过已记录的 GPS 讯号,即可得到合理的可重复 TTFF 与 LLA (Latitude、Longitude、Altitude) 结果。然而,由于这些量测作业的错误与标准误差,仅稍微高于「Off-the-air」量测的误差,因此几乎可将之忽略。因为绝对精确度 (Absolute accuracy) 较高,所以可重复性亦较优于「Off-the-air」量测作业。
仿真的 GPS 讯号
最后 1 种可进行 TTFF 与定位精确度量测的 GPS 测试讯号来源,即为仿真的多组卫星 GPS 讯号。透过 NI LabVIEW GPS 工具组,即可透过由使用者定义的 TOW、星期数,与接收器位置,仿真最多 12 组卫星。此 GPS 讯号仿真方式的主要优点,即是透过可能的最佳讯噪比 (SNR) 构成 GPS 讯号。与实时/记录的 GPS 讯号不同,依此种方法所建立的可重复讯号,其噪声功率甚小。图 23 即呈现了仿真多组卫星讯号的频域。
VSA 设定
Center: 1.57542 GHZz
Span: 4 MHz
RBW: 100 Hz
Averaging: RMS, 20 Average

图 23. 仿真多组卫星 GPS 讯号的带内功率 (Power-in-band) 量测作业
当透过仿真的多组卫星波形测试接收器时,则可针对接收器所提供的 C/N 比值进行关联,以再次评估所需的 RF 功率。
一旦能为 RF 功率强度进行关联,则可接着量测 TTFF。当量测 TTFF 时,应先启动 RF 向量讯号产生器。过了 5 秒钟之后,可手动将接收器转为「冷」开机模式。一旦接收器取得定位信息,则将回报 TTFF 信息。下图则呈现仿真 GPS 讯号的相关结果:

图 24. TTFF 数值的 4 项专属模拟
请注意图 24 中的所有仿真作业均使用相同的 LLA (Latitudes、Longitude,与 Altitude)。
此外,若要量测 TTFF,我们亦可依不同的 TOW 建立仿真作业,以计算 LLA 的精确度与可重复性。请注意,由于在数个小时之内,可用的卫星讯号将持续变化,因此必须设定多种 TOW 以测试精确度 (如图 24)。而图 25 则表示其 LLA 信息。

图 25. 多项 TOW 仿真作业的水平精确度
在图 25 中,可根据模拟的定位,计算出公尺为单位的水平错误。又如图 20 所示,可透过下列等式找出错误:

等式 17. 仿真 GPS 讯号的定位错误
而针对我们所使用的接收器而言,其水平定位最大误差为 5.2 公尺,水平定位平均误差为 1.5 公尺。而透过图 18 所示,我们所使用的接收器均可达指定的限制之内。
如先前所述,接收器的精确度,与可用的卫星讯号密不可分。也就是说,接收器的精确度可能在数个小时内大幅变化 (卫星讯号改变),但是其可重复性却极小。为了确认我们的 GPS 接收器亦为如此,则可针对特定的模拟 GPS 波形执行多项测试。此项作业主要是必须确认,RF 仪控并不会对仿真的 GPS 讯号产生额外的不确定性。如下方图 26 所示,当重复使用相同的二进制档案时,我们所使用的 GPS 接收器将得到极高可重复性的量测。

图 26. 相同波形的各次测试,其误差亦具有极高的可重复性
回头再看图 20,使用仿真 GPS 讯号的最大优点之一,即是可达到可重复的定位结果。由于此特性可让我们确认:所回报的定位信息,并不会因为设计迭代 (Iteration) 而发生变化,因此在开发的设计检验阶段中,此特性格外重要。
量测动态定位精确度
GPS 接收器测试的最后 1 种方法,即是量测接收器的追踪功能,使其在大范围的功率强度与速度中维持定位。在过去,此种测试 (往往亦为功能测试) 的常见方法之一,即是整合驱动测试与多路径衰减 (Multi-path fading) 模拟。在驱动测试 (Drive test) 中,我们使用可导入大量讯号减损 (Impairment) 的已知路径,驱动原型接收器。由于驱动测试是将自然减损套用至 GPS 卫星讯号的简单方法,因此这些量测往往亦不可重复。事实上,如GPS 卫星移动、天气条件的变化,甚至年度时间 (Time of year) 的因素,均可影响接收器的效能。
因此,目前有 1 种逐渐普及的方法,即是于驱动测试上记录 GPS 讯号,以大量讯号减损检验接收器效能。若要进一步了解设定 GPS 记录系统的方法,请参阅前述章节。而在驱动测试方案中,有多款 PXI 机箱可供选择。最简单的方式,即是使用 DC 机箱并以汽车电池进行供电。其次可使用标准的 AC 机箱,搭配转换器即可使用汽车电池供电。在此 2 种选项中,DC 机箱的耗电量较低,但亦较难以于实验室中供电。如下列所示的标准 AC 机箱使用结果,其所供电的系统则包含 1 组外接的车用电池,与 1 组 DC to AC 转换器。
一旦我们完成 GPS 讯号的记录作业,即可透过相同的测试数据重复测试接收器。在下方的说明中,我们追踪接收器的经度、纬度,与速度。透过串行端口与每秒 1 次的 NMEA-183 指令读取速率,从接收器读取所需的数据。在下方量测中,我们所呈现的接收器特性参数,仅有定位与卫星 C/N 值。请注意,在执行这些量测作业的同时,亦可分析其他信息。虽然下列结果中并未量测水平精确度衰减 (Horizontal dilution of precision,HDOP),但此特性参数亦可提供大量的接收器定位精确度信息。
若要获得最佳结果,则应确实同步化接收器与 RF 产生作业的指令接口。下方所示结果中,我们将 COM 埠 (pin 2) 的数据信道做为开始触发器,以针对RF 向量讯号产生器与 GPS 模块进行同步化。此同步化方式仅需任意波形产生器的 1 个频率循环 (100 MS/s),即可进行向量讯号产生器与 GPS 接收器的同步化。因此最大的歪曲 (Skew) 应为 10 μS。并请注意,因为我们将取得接收器的经纬度,所以由同步化作业所造成的精确度错误,将为 10μs 乘以 Max Velocity (m/s),或为 0.15 mm。
使用上述的设定,我们即可按时取得接收器的经纬度。结果即如下图所示:


图 27 与 28. 每 4 分钟所得到的接收器经纬度
在图 27 与 28 所呈现的数据中,即使用已记录的驱动测试讯号,取得统计、定位,与速度的相关信息。此外我们可观察到,在每次的测试之间,此项信息具有相对的可重复性;即为每个独立轨迹所呈现的差异。事实上,这就是我们最需要的接收器可重复性 (Repeatability)。由于可重复性信息将可预估 GPS 接收器精确度的变化情形,因此我们亦可计算波形各个样本之间的标准误差。在图 29 中,我们在各次同步化取样作业之间,绘出标准的定位误差 (相对于平均位置)。

图 29. 依时间取得的经度与纬度标准误差
当看到水平标准误差时,可注意到标准误差在 120 秒时快速增加。为了进一步了解此现象,我们亦根据接收器的速度 (m/s) 与 C/N 值的 Proxy,绘出总水平标准误差。而我们预先假设:在没有高功率卫星的条件下,卫星的 C/N 比值仅将影响接收器。因此,我们针对接收器所回传 4 组最高高度的卫星,平均其 C/N 比值而绘出另 1 组 C/N 的 Proxy。结果即如下列图 30 所示。

图 30. 定位精确度与 C/N 值的相关性
如图 30 所示,在 120 秒时所发生的峰值水平错误 (标准误差中),即与卫星的 C/N 值产生直接关联,而与接收器的速度无关。此次取样的标准误差约为 2 公尺,且已低于其他取样约 10 公尺的误差。同时,我们可发现前 4 名的 C/N 平均值,由将近 45 dB-Hz 骤降至 41 dB-Hz。
上述的测试不仅说明 C/N 比值对定位精确度的影响,亦说明了已记录 GPS 数据所能进行的分析作业种类。在此测试中的 GPS 讯号驱动记录作业,是在中国深圳 (Shenzhen) 北方的惠州市 (Huizhou) 所进行。并接着于德州奥斯汀 (Austin Texas) 测试实际的接收器。
结论
如整篇文件所看到的,目前已有多项技术可测试 GPS 接收器。虽然如敏感度的基本量测,最常用于生产测试中,但是此量测技术亦可用于检验接收器的效能。这些测试技术虽然各有变化,但是均可于单一 PXI 系统中全数完成。事实上,GPS 接收器均可透过仿真或记录的基频 (Baseband) 波形进行测试。透过整合的方式,工程师可执行完整的 GPS 接收器功能测试:从敏感度到追踪其可重复性。
参考数据
[1] Pratt, Bostonian, and Allnutt. Satellite Communications
[2] Navstar GPS User Equipment Introduction, September 1996
[3] Gu, Quzheng, RF System Design of Transceivers for Wireless Communications, Springer, 2005. Fundamentals
[4] Ward, Phillp W., Betz, John W., and Hegarty, Christopher J. Chapter 5: Satellite Signal Acquisition, Tracking and Data Demodulation, excerpt from: Understanding GPS: Principles and Applications by Elliot D. Kaplan, Artech House, 2005.
[5] Global Positioning System: Theory and Applications, Edited by Bradford W. Parkingson and James J. Spilker
[6] Braasch, Michael S. and Van Dierendonck, A. J. GPS Receiver Architectures and Measurements, Proceedings of the IEEE, 1999.
[7] Global Positioning System Standard Positioning Service Signal Specification, 1995.
[8] Global Positioning System Standard Positioning Service Signal Specification. Annex A, Standard Positing Service Performance Specification, 1995.
[9] Goldberg, Hans-Joachim. Atmel Whitepaper: Measuring GPS Sensitivity, 2007.